Y2x2 Xy+1dx+x Ydy0
Https//mathstackexchangecom/questions//solvey2xfracdydx21usingproposedchangeofvariables So we get y′=0⇒y=C, which is not one of the stated solutions You are right It is not one of the stated solutions It is two of them Namely the solutions y=1 and y = 1.
Y2x2 xy+1dx+x ydy0. Solve $(2x^2 y^2)\,dx xy \, dy = 0$ Attempted The equation is not exact because $ M_y \ne N_x $ for $ M = 2x^2 y^2 $ and $ N = xy$ Or is it exact?. 1 dy dx = y 2 xy 1 , y 1 = x 2 dy dx = e 2 x (1 2 e x ) y y 2 , y 1 = e x 3 dy dx = 4 x 2 1 x y y 2 , y 1 = 2 x 94 Cap´ ıtulo 2 Ecuaciones diferenciales de primer orden 210 Ecuaci´on de Clairaut La ecuaci´on diferencial de la forma y = xy 0 f ( y 0 ) , (284) con f una funci´on arbitraria, se llama ecuaci´ on. Substitute y = t x t ( t 2 x) = ( t − 2 x) y ′ Note that y ′ = t ′ x t t ( t 2 x) = ( t − 2 x) ( t ′ x t) After some simplifications you get t ′ ( t − 2 x) = 4 t Consider now x ′ = d x d t x ′ x 2 t = 1 4 Which is easy to solve.
Question xy y' y^2 = 2x 2xy y' y^2 y dx x dy = 0 (x^2 2y/x) dx = (3 In x^2) dy dy/dx = xx/y y/x 1 y/x^2 dy/dx In Problems 1926 solve the given differential (y^2 1) dx = y sec^2 x dy y (ln x In y) dx = (x In x x In y y) dy (6x 1) y^2 dy/dx 3x^2 2y^3 = 0 dx/dy = 4y^2 6xy/5y^2 2x t d Q/d t Q = t^4 In t (2x. We can rewrite this Ordinary Differential Equation in differential form (x2 y2) dx − xy dy = 0 A as follows dy dx = x2 y2 xy ∴ dy dx = x y y x B Leading to a suggestion of a substitution of the form u = y x ⇔ y = ux. Find dy/dx x^2yxy^2=6 x2y xy2 = 6 x 2 y x y 2 = 6 Differentiate both sides of the equation d dx (x2yxy2) = d dx (6) d d x ( x 2 y x y 2) = d d x ( 6) Differentiate the left side of the equation Tap for more steps By the Sum Rule, the derivative of x 2 y x y 2 x 2 y x y 2 with respect to x x is d d x x 2 y d d x x y 2.
can you please explain how to to find dy/dx for the function x^2 y Y^2 x = 2 asked in CALCULUS by mathgirl Apprentice differentiation;. Let's simplify it First dy/dx = (y/x 1)/(y/x 1) Taking y = vx dy/dx = v xdv/dx Therefore, dx/x = (v 1)dv / (v^2 1) Integrating we get log (1/x) logc. Share It On Facebook Twitter Email 1 Answer 1 vote answered by Prerna01 (521k points) selected by RahulYadav Best answer Given as.
Factor out the Greatest Common Factor (GCF), 'd' d(x 3xy 2 2x 2 y 2 y 2) = 0 Subproblem 1 Set the factor 'd' equal to zero and attempt to solve Simplifying d = 0 Solving d = 0 Move all terms containing d to the left, all other terms to the right. Answer I read the following equation M(x,y)dx N(x,y)dy =0 , with M(x,y) = y(y 2x 2 ) , N(x,y) = 2(x y) The equation is not exact because M_y =2(x y 1) # N_x = 2 But ( M_y N_x )/N = 1. Solve the IVP 3 − y x 2 dx y 2 − 2x xy2 dy = 0;.
Simple and best practice solution for (1x^2)(1y^2)dx(xy)dy=0 equation Check how easy it is, and learn it for the future Our solution is simple, and easy to understand, so don`t hesitate to use it as a solution of your homework If it's not what You are looking for type in the equation solver your own equation and let us solve it. Explanation We can use an integrating factor when we have a First Order Linear nonhomogeneous Ordinary Differential Equation of the form;. Simple and best practice solution for y(xy1)dxx(1xyx^2y^2)dy=0 equation Check how easy it is, and learn it for the future Our solution is simple, and easy to understand, so don`t hesitate to use it as a solution of your homework If it's not what You are looking for type in the equation solver your own equation and let us solve it.
Solve the initial value problems x^2 dy/dx = 4x^2 x 2/ (x 1) (y 1), y (1) = 1 x^2 dy/dx 3xy = x^4 ln (x) 1, y (1) = 0 Solve the Equation dy/dx y/x 2 = 5 (x 2)y^1/2 Determine whether the equation is exact if it is then solve it 2/Squareroot 1 x^2 y cos (xy) dx x cos (xy) y^1/3 dy = 0 Solve the Equation dy/dx = x. Algebra Algebra questions and answers ,2 = с R Q1 Verify that ſ (y?. Free implicit derivative calculator implicit differentiation solver stepbystep.
Multiply through by y y²(xy1) dx xy(x3y2) dy = 0 (xy²y³y²) dx (x²y3xy²2xy) dy = O Equation is now exact Solution is F(x,y) = C, where ∂F/∂x = M(x,y) = (xy²y³y²) F(x,y) = ∫ (xy²y³y²) dx = ½ x²y² xy³ xy² G(y) ∂F/∂y = N(x,y) = (x²y3xy²2xy) F(x,y) = (x²y3xy²2xy) dy = ½ x²y² xy³ xy² H(x). 2x )dx (2xy x?)dy = SSI aQ OP dA where C is the boundary of a region @x Oy R defined by y=0, x = 1, and y = x² Hint Here P = y2 – 2x and Q = 2xy x² =. Get stepbystep solutions from expert tutors as fast as 1530 minutes Your first 5 questions are on us!.
Solution to Differential equations question Solve differential equation 2xy9x^2(2yx^21)\frac{dy}{dx}=0, \ y(0)=3 ⃤ Plainmath is a free database of m. Experts are tested by Chegg as specialists in their subject area We review their content and use your feedback to keep the quality high. Solve your math problems using our free math solver with stepbystep solutions Our math solver supports basic math, prealgebra, algebra, trigonometry, calculus and more.
1 Answer An equation in differential form M ( x, y) dx N (x, y) dy = 0 is said to be homogeneous, if when written in derivative form there exists, a function g such that A homogeneous equation can be transformed into a separable equation by a change of variables. 2xy9x^2 (2yx^21) (dy)/ (dx)=0, y (0)=3 \square!. Simple and best practice solution for y(2x^2xy1)dx(xy)dy=0 equation Check how easy it is, and learn it for the future Our solution is simple, and easy to understand, so don`t hesitate to use it as a solution of your homework If it's not what You are looking for type in the equation solver your own equation and let us solve it.
60 3 xy 2 y x 3 y 2 61 dy dx y x p xy 62 dy dx 2 ye xy 2 y xe xy 63 3 xy 2 x 3 from MATEMATICA ALGEBRA at Metropolitan Autonomous University This preview shows page 85 out of 253preview shows page 85 out of 253. 1 consider the equation d 2 y a 0 dx 2 a dy a y 0 1 dx 2 (1) The characteristic equation of (1) is a m 2 a m a 0 (2) 0 1 2 Suppose the roots of the equation (2) be m 1 = a ib and m 2 = a – ib The general solution of (1) is y c e ( a ib) x c e (a ib) x 1 2 Since they are not repeated. For example, when x=0, y=1 Then I see at x=0, the slope is zero So at x=001, the function is where y’ = dy/dx = the slope From the slope, you can get the next point by the previous point plus slope*dx So at x=001 and y=1, the slope is now 5*0110*01/1 = 015.
To ask Unlimited Maths doubts download Doubtnut from https//googl/9WZjCW Solve `(xy1)dx (2x 2y3)dy=0`. Dy dx P (x)y = Q(x) We have (2x3 −y)dx xdy = 0 Which we can equivalently write in the above standard form as dy dx − y x = − 2x2 A So we compute and integrating factor, I, using;. If xy = 1, prove that (dy/dx) y 2 = 0 differentiation;.
Solution to Differential equations question Solve differential equation y(2x2xy1)dx(xy)dy=0 ⃤ Plainmath is a free database of mathematical knowledge. Weekly Subscription $249 USD per week until cancelled Monthly Subscription $799 USD per month until cancelled Annual Subscription $3499 USD per year until cancelled. Y (−1) = 2 Expert Answer Who are the experts?.
26 Ecuaci´on de Bernoulli 81 tenemos que dx dy = x y y 3 y x 2 dx dy1 y x = y 2 x 2, la cual es una ecuaci´on diferencial de Bernoulli en x Dividiendo por x 2, resulta x2 dx dy1 y x1 = y 2 (273) Sea w = x1, entonces dw dy =x2 dx dy Sustituyendo en (273), resultadw dy1 y w = y 2, y resolviendo la ecuaci´ on diferencial. We can rearrange this Differential Equation as follows dy dx = − x2 y2 x2 − xy = − ( 1 x2)(x2 y2) ( 1 x2)(x2 −xy) = − 1 ( y x)2 1 − y x So Let us try a substitution, Let v = y x ⇒ y = vx Then dy dx = v x dv dx And substituting into the above DE, to eliminate y. Integrating factor = e^∫ 1/y dy = e^ln y = y Multiply through by y y² (xy1) dx xy (x3y2) dy = 0 (xy²y³y²) dx (x²y3xy²2xy) dy = O Equation is now exact Solution is F (x,y) = C, where ∂F/∂x = M Continue Reading We have differential equation of.
The first hint is that dividing the equation through by y^2 yields an expression that almost depends only on x/y \left(\left(\frac xy\right)^2 \frac xy\right) \, \frac {dy} {dx} 1 = 0 \,. As´ ı que un factor integrante es μ (x, y) = 1 xy Si multiplicamos la ecuaci´on diferencial dada por μ (x, y) , obtenemos la ecuaci´on exacta 1 xy (xy y ln y) dx 1 xy (xy x ln x) dy = 0, cuya soluci´ on est´ a definida impl´ ıcitamente por la ecuaci´ on y x ln y ln x = c Ejemplo 6 Resolver (2 x 2 ey) dx (x 3 xy) dy. Set the factor 'dx' equal to zero and attempt to solve Simplifying dx = 0 Solving dx = 0 Move all terms containing d to the left, all other terms to the right Simplifying dx = 0 The solution to this equation could not be determined This subproblem is being ignored because a.
3 Answers Douglas K Given x2 3xy y2 = 0 Differentiate each term with respect to x d(x2) dx 3d(xy) dx d(y2) dx = d(0) dx Use the power rule, dy dx = nxx−1, on the first term 2x 3d(xy) dx d(y2) dx = d(0) dx Use the product rule, d(xy) dx = dx dx y x dy dx = y x dy dx on the second term. 1 y y dy dx = x x2 1 Which is a First Order Separable Ordinary Differential Equation, so we can separate the variables to get ∫ 1 y dy = ∫ x x2 1 dx We can manipulate the RHS integral as follows ∫ 1 y dy = 1 2 ∫ 2x x2 1 dx And now both integrals are standard results, so integrating give us lny = 1 2ln∣∣x2 1∣∣ C. Popular Problems Calculus Find dy/dx 2xyy^2=1 2xy − y2 = 1 2 x y y 2 = 1 Differentiate both sides of the equation d dx (2xy−y2) = d dx (1) d d x ( 2 x y y 2) = d d x ( 1) Differentiate the left side of the equation Tap for more steps By the Sum Rule, the derivative of 2 x y − y 2 2 x y y 2 with respect to x x is d d x 2.
Solve the following differential equations √(1 x^2 y^2 x^2y^2) xy(dy/dx) = 0 asked May 11 in Differential Equations by Rachi ( 297k points) differential equations. 2x(y21)dx(x41)dy=0 One solution was found d = 0 Step by step solution Step 1 Polynomial Roots Calculator 11 Find roots (zeroes) of F(x) = x41 Polynomial How to solve the differential equation \left(x^2xy\right)dy=\left(x^2y^2\right)dx. Consider the equation (y^2 2xy)dx x^2 dy = 0 Show the equation is not exact, but becomes exact if we multiply it by y^2 Use the resulting exact equation to find the general (implicit) solution of the original equation Question Consider the equation (y^2 2xy)dx x^2 dy = 0.
The general solution of y^2dx (x^2 – xy y^2)dy = 0 is (A) tan^1(x/y) logy c = 0 asked in Differential equations by Sarita01 ( 535k points) differential equations. (b) 2 x y dx ( y 2 x 2) dy = 0 Here, M = 2 x y, M y = 2x, N = y 2 x 2, and N x = 2 xNow, ( N x M y) / M = ( 2 x 2 x ) / ( 2 x y) = 2 / yThus, μ = exp ( ∫ 2 dy / y ) = y2 is an integrating factor The transformed equation is ( 2 x / y ) dx ( 1 x 2 y2) dy = 0 Let m = 2 x / y, and n = 1 x 2 y2Then, m y = 2 x y2 = n x, and the new differential equation is exact. f(x)=(x1)^3 (x1)^3 prove if its increasing or decreasing using geometrical representation 1 Answer(s) Available State true or false EVERY RATIONAL NUMBER IS.
The equation is also not separable The equation is also not homogenous, I don't think So what do I do?.

Solve The Linear Differential Equation 1 X Dy Dx Xy 1 X Brainly In

Engineering Mathematics Notes
Ejercicios Propuestos Ecuaciones Diferenciales Primer Orden Pdf Differential Equations Equations
Y2x2 Xy+1dx+x Ydy0 のギャラリー
1 160 97 198 8080
Ahmeddemir Net
Taller 2 Pdf

First Order Differential Equations Chapter 2 Ch2 2 Contents 2 1 Solution Curves Without A Solution 2 1 Solution Curves Without A Solution 2 2 Separable Ppt Download

Prove That Intlimits 4 10 Frac X 2 X 2 28x 196 X 2 Dx 3 Snapsolve
Solved Xy Y Y 2 2x 2xy Y Y 2 Y Dx X Dy 0 X 2 Chegg Com

Solved Determine Whether Or Not The Following Equation Is Exact If So Find The Solution 1 2xy 2y Dx 2x Y 2w Dy 0 Y 1 3 2

Answered Find The Integrating Factor Of Y 2x Bartleby
Solve X 2 Yx 2 Dy Y 2 Xy 2 Dx 0
Find The General Solution Of Differential Equation 1 X 2 1 Y Dx Xy 1 Y Dy Sarthaks Econnect Largest Online Education Community
Solved Bernoulli S Equation 6y 2 Dx X 2x 3 Y Dy 0 Chegg Com
X 2 Y 2 Dx Xydy 0 Happylove22

Misc 7 Show That General Solution Is X Y 1 A 1 X Y 2xy

Solve The System Of Differential Equations Dx Dt X Y Dy Dt 2x Y Subject To The Initial Conditions X 0 0 And Y 0 1 Homeworklib
Solved X Y 1 Dx X 4y 1 Dy 0 Solve The Differential Equation Course Hero
Edshare Soton Ac Uk

Solve Y 1 Xy Dx X 1 Xy X 2y 2 Dy 0 Mathematics Stack Exchange
Ahmeddemir Net
Gfgc Kar Nic In
Integrating Factor Of The Differential Equation 1 X2 Dy Dx Xy 1 Is Studyrankersonline

Solve Y 2 2x 2y Dx 2x 3 Xy Dy 0 Mathematics Stack Exchange

Ex 9 5 4 Show Homogeneous X2 Y2 Dx 2xy Dy 0 Ex 9 5
Find The General Solution Of Y2dx X2 Xy Y2 Dy 0 Studyrankersonline
D Dx Formula

K Frahairxgugm
Secure Media Collegeboard Org
Salfordphysics Com
Homogeneous Differential Equations
Solved Solve The Following Differential Equations X Y 3 Dx X Y 1 Dy 0 2 X Y 1 Dx 3x 4y 2 Dy C 3 1 Y 2 Xy 2 Dx X 2y Y 2xy Dy Course Hero

Exact Equations Example 1 Video Khan Academy

Diifferential Equation Akshay

Find Y X If It Satisfies The Following Differential Equation Dy Dx X Y 2 And Given That Y 1 1 A Ln 1 X Y 1 X Y 2 X 1 B Ln 2 Y 2 X X Y 1 C Ln 1 X Y 1 X Y 2 X 1 D 1 2ln 1 X Y 1 X Y Ln X 0
How To Homogeneous Reducible Differential Equation Dy Dx 2x Y 1 X 2y 1 Quora
Homogeneous Differential Equations

Math 432 Hw 2 5 Solutions Frostburg

Y 2 X 2 Dy Dx Xy Dy Dx Youtube

Solve This Q 101 Solve The Following Differential Equation 1 X2 Y2 X2y2 Dx Xy Dy 0 Maths Differential Equations Meritnation Com
What Is The Solution For Math Sqrt 1 X 2 Sqrt 1 Y 2 Dx Xy Dy 0 Math Quora

Solved Qi Solve The Homogenous Differential Equation Dy Y Xy Dx Q2 Solve The Differential Equation After You Find The Integral Factor Zx Y Dx Xdy 0 Y Xy2 Dx Xdy 0

Answered A In Each Of Problems 1 Through 10 Bartleby
Solved Find The Particular Solution Indicated For The Following Course Hero

Answered Find A Set Of Solutions Integrating Bartleby

Differential Equations Separation Of Variables Ppt Download
1
Y Xy 3 1 X 2 1 2 Y 0 1 Harushley

Engineering Mathematics Notes

If Y X Is The Solution Of Dy Dx X 2 1 Y 2 Y 0 2 Then Y 3 Homeworklib

Math 432 Hw 2 5 Solutions

X 2 Y 2 Dx 2xy Dy 0 Youtube
Pages Mtu Edu
Solved Integrating Factors Found By Formula 11 Y Y 2x Chegg Com

X 2 Y 2 Dx Xydy 0 Happylove22

Solution Solve The Differential Equation X Y 1 Dx X 1 Dy 0 If Y 2 When X 1

1 X 2 Dy Dx Xy 1 Youtube

Solve X Y 2 Dx X 2y 3 Dy 0 Maths Differential Equations Meritnation Com
Solved Subject Test For Exactness And Solve If Exact 1 Y 2 Xy 2 Dx X 2 Y Y 2xy Dy 0 2 Xy 2 Y X Dx X Xy 1 Dy 0 3 Course Hero

Engineering Mathematics Notes

Paper

Nonexact Equations Integrating Factors Video Lesson Transcript Study Com

Solved Problems In Differential Equations 2500 Solved Problems In Differential Docsity

Find The Particular Solution Of Given Differential Equation 3xy Y 2 Dx X 2 Xy Dy 0 At X 1 Y 1 Mathematics Topperlearning Com D1ksg633

Solved Solve The Following Differential Equations 1 Eliminate A And B From Y Ae3x Bex And Find The Required Ode 2 X Y Xdx Y Dx Xy 1 3 Cos X

Solve Y 2 2x 2y Dx 2x 3 Xy Dy 0 Mathematics Stack Exchange

Example 17 Show 2y E X Y Dx Y 2x Ex Y Dy 0 Particular
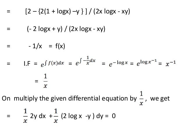
How To Solve Y 2x 2 Xy 1 Dx X Y Dy 0 Quora

Solve Y 1 2xy Dx X 1 Xy Dy 0

Differential Equation Help Topic D2jsp
Science Marshall Edu

Integrating Factors Found By Inspection

Solve Y 1 Xy Dx Xdy 0 Youtube

Solve Y 2 2x 2y Dx 2x 3 Xy Dy 0 Mathematics Stack Exchange

Show That The General Solution Of The Differential Equation Dy Dx Y 2 Y 1 X 2 X 1 0 Is Given By X Y 1 A 1 X Y 2xy Where A Is Parameter Mathematics Shaalaa Com

Engineering Mathematics Notes
Solve 1 X 2 Dy Dx Xy Xy 2 Sarthaks Econnect Largest Online Education Community
Find The Particular Solution Of The Differential Equation X 2dy Dx Xy 1 Cos Y X X 0 When X 1 Y Pi 2 Sarthaks Econnect Largest Online Education Community
What Is The General Solution Of The Ydx Xy 2 X Y Dy 0 Quora

The Solution Of The Differential Equation Y Xy 2x 2y 2 Dx X Xy X 2y 2 Dy 0 Is Given Youtube

First Order Differential Equations Chapter 2 Ch2 2 Contents 2 1 Solution Curves Without A Solution 2 1 Solution Curves Without A Solution 2 2 Separable Ppt Download

Suggested Problems Ode Math 263 Ordinary Differential Equations Studocu

Solve Y 2 2x 2y Dx 2x 3 Xy Dy 0 Mathematics Stack Exchange

Math 432 Hw 2 5 Solutions Pdf Free Download
Implicit Differentiation

Engineering Mathematics Notes

Solve The Following Differential Equations I Y 2 D X Left X Y X 2 Right D Y 0 Ii X 2 Y D X Left X 3 Y 3 Right D Y 0 Iii Frac D Y D X Tan Left Frac Y X Right Frac Y X Iii Frac D Y D X Frac X 2 Y 2 X Y 0 Iv
How To Solve This Differential Equation Y Xy Dx X X Y Dy 0 Quora
How To Solve 3xy Y 2 Dx X 2 Xy Dy 0 Also I Wish To Knw When To Use Y Vx Or X Vy Mathematics Topperlearning Com H9faf2xx

If Y X Is The Solution Of Dy Dx X 2 1 Y 2 Y 0 2 Then Y 3 Homeworklib
Solve X2 Dy Dx X2 Xy Y2 Studyrankersonline
Solved For Problems 26 Determine An Integrating Factor Chegg Com

Ex 9 5 12 Find Particular Solution X2 Dy Xy Y2 Dx 0
Solve The Differential Equation Xy 2 X Dx X 2y Y Dy 0 Sarthaks Econnect Largest Online Education Community

Implicit Differentiation Advanced Example Video Khan Academy

The Solution Of The Differential Equation Dy Dx X Y 2 When Y 1 1 Is A Log E Abs 2 Y 2 X 2 Y 1 B Log E Abs 1 X Y 1 X Y X Y 2 C Log E Abs 2 X 2 Y X Y D Log E Abs 1 X Y 1 X Y 2 X 1

View Question Help Please
2x 2 Y 2 Xy Dy Dx 0を解いてください 至急です お願 Yahoo 知恵袋
Solved Solve The Following Differential Equation E Xy Dy Dx Chegg Com

Engineering Mathematics Notes

Doc Iii Exact Differentia Equation Joshua Pascual Academia Edu
Ualberta Ca

Solutions To Implicit Differentiation Problems