U Vx Yx2+4xy+y2
1 BASICCONCEPTS 2 2 Verify that for all pairs of differential functions f and g of one variable, u(x,y) = f(x)g(y) is a solution of the PDE uuxy = uxuy Solution First, compute ux, uy and uxy ux = g(y)f′(x) uy = f(x)g′(y) uxy = f′(x)g′(y) Substituting into the PDE, we have.
U vx yx2+4xy+y2. At a typical x value Such a line enters D at y = x2 and leaves at y = 2x The integral becomes ZZ D (4x2)dA = Z 2 0 Z 2x x2 (4x2)dydx = Z 2 0 4xy 2yy=2x y=x2 dx = Z 2 0 8x2 4x − 4x3 2x2 dx = Z 2 0 (6x2 −4x3 4x)dx = h 2x3 −x4 2x2 i 2 0 = 8 The example we have just done shows that it is sometimes easier to do it one way than the. Y^2 at the point a) ( 2, 1, 3), b) ( 0, 1, 7), c) ( 1, ?. (b) What is the rate of increase of f in that direction at that point?.
Let f(z) = u(x,y) iv(x,y) is an analytic function where u is harmonic then v is called its harmonic conjugate for which u(x, y), the real part is given Here u(x,y) = 2x 2 – 2y 2 4xy \(\large \frac{\partial u}{\partial x}=4 x4 y\) and \(\large \frac{\partial u}{\partial y}=4 y4 x\) From CauchyReimann equations,. Factor out the Greatest Common Factor (GCF), '4xy' 4xy(y x) = 0 Ignore the factor 4 Subproblem 1 Set the factor 'xy' equal to zero and attempt to solve Simplifying xy = 0 Solving xy = 0 Move all terms containing x to the left, all other terms to the right. 2 2 2 f z x y i 2 2 0 u x y v 2 2 , 0 u x v x x 2 , 0 u y v y y 2 , 0 The CR equation u v x y andu v y x are not satisfied at points other than z = 0 Therefore f z is not analytic at points other than z 0 But a function can not be analytic at a single point only.
They are "First Order" when there is only dy dx, not d 2 y dx 2 or d 3 y dx 3 etc Linear A first order differential equation is linear when it can be made to look like this dy dx P(x)y = Q(x) Where P(x) and Q(x) are functions of x To solve it there is a special method We invent two new functions of x, call them u and v, and say that y=uv. 0 y 2 Solution We look for the critical points in the interior. 3) Use the method of Lagrange multipliers to find the extreme values of 3x 4y 12z on 3) the spherical surface with equation x2 y2 z2 = 1.
Solution Let f = uiv Then, u = x2 y2 2y ) ux = 2x = vy) v = 2xy ˚(x) ) vx = 2y ˚0(x) = uy = 2y 2 ) ˚(x) = 2xc ) f = x2 y2 2y i(2xy 2xc) where c is a real constant Let g = uiv We have v = 2xy y ) vy = 2x1 = ux) u = x2 x˚(y) ) uy = ˚0(y) = vx = 2y ) ˚(y) = y2 C ) g = x2 y2 xci(2xy y) where as before c is a real constant 3. Fy = −sin(x2 y), fyx = −cos(x2 y)2x d) both sides are f0 (x)g 0 (y) 2 (fx)y = ax6y, (fy)x = 2x6y;. 5(6pts) Let Dbe the region in the rst quadrant of the xyplane bounded by the line y= x 2 and the parabola x= y2Let Sbe the solid under the plane z= xand above the region.
Z= p 1 2x2 4y2 Then, the vector equation is obtained as r(x;y) = xi yj p 1 2x2 4y2k 176 Find a parametric representation for the surface which is the part of the elliptic paraboloid x y2 2z2 = 4 that lies in front of the plane x= 0 If you regard yand zas parameters, then the parametric equations are. V 1 and v ≡ 1 u−1 −1 2 If u ≡ xy and v ≡ x2 2xy y2, then v ≡ u2 and u ≡ ± √ v If u and v are not connected by an identical relationship, they are said to be “independent functions” 1. (3) ∇2(uv) = ∇2u∇2v, ∇2(cu) = c(∇2u), for any two twice differentiable functions u(x,y) and v(x,y) and any constant c Definition A function w(x,y) which has continuous second partial derivatives and solves Laplace’s equation (1) is called a harmonicfunction In the sequel, we will use the Greek letters φ and ψ to denote.
Sec 2 θ = 4xy/(x y) 2 is true if and only if 1) x y ≠ 0 2) x = y, x ≠ 0 3) x = y 4) x ≠ 0, y ≠ 0 Answer (2) x = y, x ≠ 0 Solution Given, sec 2 θ = 4xy/(x y) 2 We know that, sec 2 θ ≥ 1 Therefore, 4xy/(x y)2 ≥ 1. Answer (1 of 8) The given equation is x² 4xy y² = On differentiating w r t x we get, d/dx( x² 4xy y² ) = d/dx() 2x (4x)(dy/dx) 4y (2y)(dy/dx) = 0 On apply product rule ( Ist functionderivatives of IInd function IInd functionderivative of I. Definition 161 Suppose H R2 → R has continuous second partial deriva tives on a domain D We say H is harmonic in D if for all (x,y) ∈ D, H xx(x,y)H yy(x,y) = 0 Harmonic functions arise frequently in applications, such as in the study.
Stack Exchange network consists of 178 Q&A communities including Stack Overflow, the largest, most trusted online community for developers to learn, share their knowledge, and build their careers Visit Stack Exchange. Y(x2 xy 3)dydx Example 2 X and Y are jointly continuous with joint pdf fY (y) = ˆ 2x·2y = 4xy if 0 ≤ x ≤ 1 and 0 ≤ y ≤ 1 0otherwise is exactly the same as f(x,y), the joint density, for all x and y Example 4 X and Y are independent continuous random variables, each with pdf. This is called Componendo and subtracting 1 from each side we get r s −1 = u v − 1 or r −s s = u − v v This is called Dividendo Their ratio gives us r s r −s = u v u −v, which is called applying Componendo and Dividendo together Coming to the problem p = 4x y x y = 4xy x y ie p 2x = 2y x y.
Free math problem solver answers your algebra, geometry, trigonometry, calculus, and statistics homework questions with stepbystep explanations, just like a math tutor. = x 2 4x Diketahui terbuat dari karton seluas 432 cm 2 Maka diperoleh persamaan Û x 2 4xy = 432 4xy = 432 – x 2 y = y = Volume kotak V (x) = Luas alas x tinggi V(x) = x 2 y Û V (x) = x 2 V (x) = 108x – V 1 (x) = 108 –. 复变函数问题,已知调和函数 uv= (xy) (x^24xyy^2)2 (xy),求f (z) 复变函数问题,已知调和函数uv= (xy) (x^24xyy^2)2 (xy),求f (z)=uvi 可选中1个或多个下面的关键词,搜索相关资料。 也可直接点“搜索资料”搜索整个问题。 你对这个回答的评价是?.
v y = u x = 3 x 2 2 y − 4 y 2 and after integration v ( x, y) = 3 x 2 y y 2 − ( 4 / 3) y 3 β ( X) and after trying to solve for β I found it equal to β = x 2 y − x 2 and after applying it to the v ( x, y) = 4 x 2 y 2 = ( 4 / 3) y 3 − x 2. ∂u ∂x = y2 x2 y2 1 y = y x2 y2 = ∂v ∂y (1) − ∂u ∂y = − y2 x 2y −x y 2 = x x2 y = ∂v ∂x (2) By (1), v = 1 2 log(x2 y2)C(x), and by (2) ∂v ∂x = x x 2y C′(x) = x x y2 so C′(x) = 0andC(x) is a constant, call it D Therefore, v(x,y) = 1 2 log(x2 y2)D Question 3. Transcribed image text Find all the partial derivatives of the first and the second order for f(x, y) = x^2 3xy^2 2y 5 1) Find fx, fy and fxy for e^2x sin (Piy/3) 3) Find fx , fy , and for x^2 y e^xy^4 5) Find fx (x, y) and fy(x, y) for f(x, Y) = xy/x^2y^2 5) Find an equation of the tangent plane to the surface z = 8?.
A) fx,y 4x2 y2 b) f u,v 6 3u 2v 13 Funções com Três Variáveis DEFINIÇÃO 2 Uma função de três variáveis (reais) é definida analogamente, com a diferença que o domínio D é agora um subconjunto de 3Para cada x,y,z em D está associado um número real f x,y,z Exemplo 5. Answer (1 of 2) Okay I will now update So g(x,y) is a constraint I believe You should have been more clear “subject to the constraint g(x,y) etc I understand that a lot of people use the notation g(x,y) for constraints, but there is nothing universal about that Also, please check and ma. If u= x2 y2 and x= t2 1, y= 3sinˇt du dt = @u @x dx dt @u @y dy dt = 2x2t 2y3ˇcosˇt = 4xt 6ˇycosˇt = 4 t2 1 t 6ˇ(3sinˇt)cosˇt = 4t3 4t 18ˇsinˇtcosˇt 342 Partials of f (x;y) where x and y are functions of two variables s and t We can use the same tree structure as.
(x y)2 (x y)3 (x y)2 (x y)3 c) fx = −2xsin(x2 y), fxy = (fx)y = −2xcos(x2 y);. Calculus Find dy/dx x^24xyy^2=4 x2 4xy y2 = 4 x 2 − 4 x y y 2 = 4 Differentiate both sides of the equation d dx (x2 4xy y2) = d dx(4) d d x ( x 2 − 4 x y y 2) = d d x ( 4) Differentiate the left side of the equation Tap for more steps. 设u及v是解析函数f (z)的实部及虚部,且uv= (xy) (x^24xyy^2)z=xiy,求f (z) xingyuxinyuan237 1年前 悬赏5滴雨露 已收到1个回答 我来回答 举报 赞 yahas 果实 共回答了31个问题 采纳率:903% 向TA提问 举报 用ux表示u对x的偏导数,uy、vx、vy类似, 学过柯西黎曼方程吧:ux=vy,uy=vx, 对所给条件分别对x,y求偏倒得: uxvx=3x^26xy3y^2,uyvy=3x^26xy3y^2.
0 16k views Find the analytic function f (z)=uiv in terms of z if uv= (xy) (x2 4xy y2) written 6 months ago by teamques10 ♣ 99k • modified 6 months ago. APPM 4360/5360 Homework #2 Solutions Spring 16 Problem #1 (10 points) Verifyif thefunction f (x,y)=sinx coshy i cosx sinhy satisfies the CauchyRiemann conditions If it does, find the associated analyticfunction f (z) Solution Let f (x,y)=u(x,y)iv(x,y)where u and v arereal. Section 43 Double Integrals over General Regions In the previous section we looked at double integrals over rectangular regions The problem with this is that most of the regions are not rectangular so we need to now look at the following double integral, ∬ D f (x,y) dA ∬ D f ( x, y) d A where D D is any region.
Is a function f(x;y) giving the probability density at (x;y) That is, the probability that (X;Y) is in a small rectangle of width dx and height dy around (x;y) is f(x;y)dxdy y d Prob = f (x;y )dxdy dy dx c x a b A joint probability density function must satisfy two properties 1 0. Starting with (xy)^2(xy)^2 = Use the FOIL method to square (xy)^2 x^2 xy xy y^2 (x^2 y^2) = Combine xy terms x^2 2xy y^2 (x^2 y^2 y^2 = Combine like terms 0 4xy 0 = drop the zeros 4xy (xy)^2(xy)^2 = 4xy No comments. Therefore fxy = fyx a = 2 By inspection, 2 2 ⇔ one sees that if a = 2, f(x,y) = x y 3xy is a function with the given fx and fy 2A5.
Problem 2 Determine the global max and min of the function f(x;y) = x2 2x2y2 2y2xy over the compact region 1 x 1;. 84 Sanyasiraju V S S Yedida sryedida@iitmacin 72 Classify the following Second Order PDE 1 y2u xx −2xyu xy x2u yy = y2 x u x x 2 y u y A = y 2,B= −2xy,C = x2 ⇒ B − 4AC =4x2y2 − 4x2y2 =0 Therefore, the given equation is Parabolic. Cauchy RiemannLinksCauchy Riemann equations in the cartesian form https//youtube/72XKWDKZf2gCauchy's Integral formula https//youtube/IqmSc4yZE0Cauch.
A first order Differential Equation is Homogeneous when it can be in this form dy dx = F ( y x ) We can solve it using Separation of Variables but first we create a new variable v = y x v = y x which is also y = vx And dy dx = d (vx) dx = v dx dx x dv dx (by the Product Rule) Which can be simplified to dy dx = v x dv dx. V x ∂ =− ∂ 4 u y ∂ =− ∂ The rotation is given by ( ) 11 44 0 z 22 vu xy ∂∂ ω= − = − = ∂∂ Since the rotation is zero, the flow is irrotational and hence the velocity potential exists From the definition of stream functionψ, we get u y ∂ = ∂ ψ or ψ= = −∫∫udy x y dy(4 ) or 2 ψ=− xy y f x C2 ( ) 1 v x. 2) Given f(x, y, z) = x3 3xyz z4, (a) in what direction is f increasing the most rapidly at 2) the point (1, 1, 1)?.
2xyy'=4x^2y^2 と y=x(y’)^22y’(y’)^2 の微分方程式の解き方が分からないです。 解説も答えも教科書には無かったので 解説もしてもらえると助かります よろしくお願いします!. Solution Let F(xy z2, x y z) = 0 be F(u, v) = 0 (1) where u = xy z2 and v = x y z (2) Partial Differential Equations 677 Clearly F(u, v) = 0 is an implicit relation, so that. Y x U 1 U 2 Economics 3070 3 Ch 3, Problem 36 For the following sets of goods draw two indifference curves, U 1 and U 2, with U 2 > U 1 Draw each graph placing the amount of the first good on the horizontal axis a Hot dogs and chili (the consumer likes both and has a.
Since 0 = u xy u x = (u y u) x, we can integrate at once with respect to xto obtain u yu= f(y)This is a rst order linear \ODE" in the variable y Introducing the integrating factor = exp R 1dy = ey, it becomes @y (e yu) = ef(y) Integrating with respect to ythis time yields. I need the solution for this If u = 2yz/x, v= 3zx/y, w= 4xy/z Show that ∂(x,yz)/∂(u,v,w) = 1/96 Please Insights Blog Browse All Articles Physics Articles Physics Tutorials Physics Guides Physics FAQ Math Articles Math Tutorials Math Guides Math FAQ Education Articles Education Guides Bio/Chem Articles Technology Guides Computer. 4xy 6xz When factorising algebraic expressions treat them just as ordinary numbers Ascertain what the common factors are The factors of 4xy are 2 x 2 x 'x' x y The factors of 6xz are 2 x 3 x 'x' x z The factors common to both expressions are 2 and 'x' Therefore, 4xy 6xz = 2x(2y 3z).

Math 251 Diary Fall 08

Transformations Fichier Pdf

1 Partial Derivatives Of F X Y Xy Acirc Circ Rsquo X 2y Acirc Circ Rsquo
U Vx Yx2+4xy+y2 のギャラリー
Publimath Univ Irem Fr

Exercise

Cauchy Riemann Show That U V X Y X2 4xy Y2 Find F Z Youtube
Arxiv Org
2 Functional Dependence Pdf Differential Calculus Functions And Mappings

Answered If X U 1 V Y Uv Then Verify That Bartleby

Solved Let R Be The Region In The First Quadrant Of The Chegg Com

Double Integration
How To Solve Dy Dx 4x Y 7 2x Y 1 Quora
Web Maths Unsw Edu Au
Math Ntu Edu Tw

Ex 5 3 6 Find Dy Dx In X3 X2y Xy2 Y3 81 Cbse

A8 Soln Math 237 Assignment 8 Solutions 1 Let F U V U2 V Vu And G X Y X3 Y X Y A Find The Jacobians Of F G And F G Solution Since F And G Both Course Hero

How Do You Implicitly Differentiate 4 2x Y 2 Y 2x 3x 2y Socratic

If X2 Y2 2 Xy Find Dy Dx Mention Each And Every Step Mathematics Topperlearning Com Gwvwfskk
Find An Analytic Function F Z U Iv Whose U V X X 2 Y 2 Sarthaks Econnect Largest Online Education Community

Answered If X U 1 V Y Uv Then Verify That Bartleby

Factorisation 11h 1m Exercices Corrections rp

Differential Equations Ppt Download

Transformations Fichier Pdf

Example 42 Let X Y R U V If And Only If Xv Yu Examples
Math Oit Edu

Ifdqgdgnqjbg7m

File

Ex 6 5 14 Find X And Y Such That X Y 60 Xy3 Is Max

15 Multiple Integrals Multiple Integrals 15 9 Change

If U V Varies As X Y And Uv Varies As Xy Then Prove That U V Varies As X Y When U V V U X Y Brainly In

Thomas Calculus 11e 8 1262 Pages 151 0 Flip Pdf Download Fliphtml5
Kalkulus Peubah Banyak Pdf

Ex 5 3 6 Find Dy Dx In X3 X2y Xy2 Y3 81 Cbse

Solutions Homework Sections Pdf Free Download

Jacobians New

Schaum S Outline College Algebra Pdf Txt

Exercices De Td Geometrie 2d Pdf Free Download

Solved Point Compute The Double Integral H I 4xy Dxdy Over The Region D Bounded By Xy 1 Xy 4 Xy 1 Xy 25 In The First Quadrant Of The Xy Plane

Pdf Partial Derivatives 13 1 Functions Of Several Variables Joseph Feliz Academia Edu

J Xy

Chapter 4 Sm Fluid Mechanics Solution 7th Edition By Frank Chapter 4 Differential Relations Studocu

Vector

Exercices Fonctions De Plusieurs Variables Corrige Pour Commencer Pdf Telechargement Gratuit

Change Of Variables In Multiple Integrals Calculus Volume 3

Differential Calculus Ii New Age International
Southalabama Edu
Uas Mtk Hafidzrachmadsyah Pdf
If U Log X 2 Y 2 Z 2 Verify 2u X Y 2u X Y

Bonjour Pouvez Vous M Expliquer Comment Savoir Si Une Forme Bilineaire Definie Un Produit Scalaire Nosdevoirs Fr
最も好ましい V Yzy 7112 V 3x 2 Y 5 X 4 Y 4 Irasutoaokkc

A Uv Vis Absorption Spectra Of The Ldh 80 Pdms N N 315 Films On Download Scientific Diagram

Answered 9 Let R Be The Region In The First Bartleby

Solved Let W F Xy Be A Differentiable Function With Continuous Second Order Partial Derivatives On R2 Where T Uv And Y Show That 3 Df A Du V 3 2y Dy 6 U 3 F V F

Rotation Of Axes Trigonometry And Analysis Geometry Math 142 Docsity

15 Multiple Integrals Multiple Integrals 15 9 Change
Materialy Rubesz Cz

Solved 21 Find The Jacobian Of The Transformation From The Chegg Com

15 Multiple Integrals Multiple Integrals 15 9 Change

Vector
Rgpvonline Com

Consider Evaluating The Integral I Integral 2 Y 0 Chegg Com

1365 Exam School Of Mathematics And Statistics Autumn 15 Advanced Calculus And Linear Algebra Studocu

F X Y Dx F X Y K Y X Pdf Free Download

3 Inner Product Spaces Pdf Free Download

Section 1 Finding Common Terms Pdf Free Download

Solved Exercise 2 Conics Let X2 Y2 4x 8y 13 A Chegg Com

X 2 Y 2 Formula X 2 Y 2 Z 2 Xy Yz Zx Formula Luar Biasa

Answered 9 Let R Be The Region In The First Bartleby

Calc 501 1000 By James Bardo Issuu

J Osxal Osx Y 1 Q F X Y 24xy 1 Find Pc Y A Find Joint Density 111 Homeworklib

Solutions Homework Sections 17 7 17 9
Rgpvonline Com

14 7 Change Of Variables In Multiple Integrals Jacobians Mathematics Libretexts

The Derivative Rules For Multivariable Functions Stated Theorem 10 On Page 151 Are Analogous To Derivative Rules From Single Variable Calculus Example Ppt Download
Prime Maths Photos Facebook

Solved Given That U X 2 Y 2 And V 2xy Determine The Stream 1 Answer Transtutors

The Region R Is Bounded By The Following Curves X2 Y2 4 X2 Homeworklib

Jacobian If X 2 Y 2 U 2 V 2 0 Uv Xy 0 Prove That ꝺ U V ꝺ X Y X 2 Y 2 U 2 V 2 Youtube
If U V X Y X2 4xy Y2 And F Z U Iv Is An Analytic Function Of Z X Iy Find F Z Is Terms Of Z Brainly In
Math Berkeley Edu

Tugas 1 Mtk2

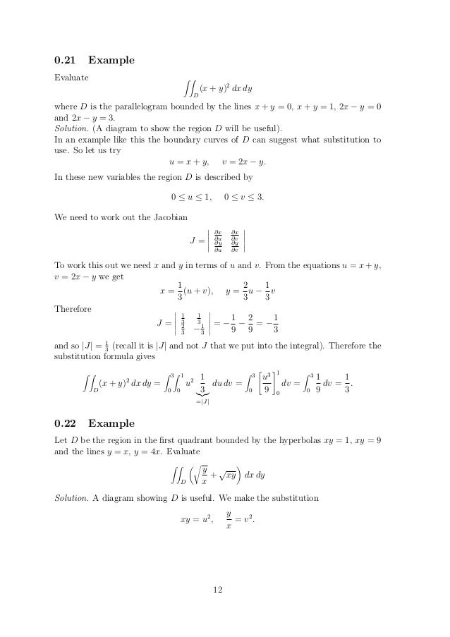
Solved Let R Be The Region In The First Quadrant Of The X Y Plane Bounded By The Hyperbolas X Y 1 X Y 9 And The Lines Y X Y 4 X Use The Transformation

Cauchy Riemann Show That U V X Y X2 4xy Y2 Find F Z Youtube
Rgpvonline Com
Jacobians Maxima Minima Pdf Maxima And Minima Calculus

Math 251 Diary Fall 10

Change Of Variables I Let D Be The Region In The Fir Itprospt
Royalsocietypublishing Org
Sismondi Ch

Chap 1

Final Practice Solucionario De Ejemplos Con Aplicaciones A Ingenieria Solutions Problem 1 Find Studocu
Math Pdf Complex Analysis Holomorphic Function

15 Multiple Integrals Multiple Integrals 15 9 Change
Solved Let R Be The Region In The First Quadrant Of The Chegg Com

Math 251 Diary Fall 10
Savoirs Usherbrooke Ca

Solved Let R Be The Region In The First Quadrant Of The X Y Plane Bounded By The Hyperbolas X Y 1 X Y 9 And The Lines Y X Y 4 X Use The Transformation
If U V X Y X2 4xy Y2 And F Z U Iv Is An Analytic Function Of Z X Iy Find F Z Is Terms Of Z Brainly In

Math 251 Diary Fall 10

Solved Example 4 A If Z F X Y X2 4xy Y Find The Chegg Com