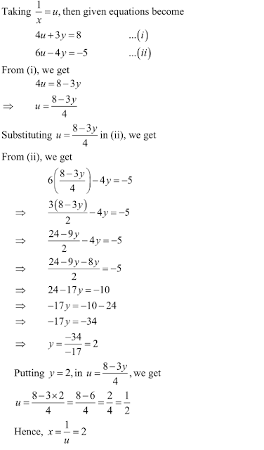
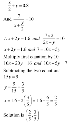
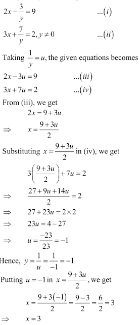
X2+y08 7x+y210
0 y 2 Solution We look for the critical points in the interior rf= (2x 22y;4y 22x) = (0;0) =)2x 22y= 4y 22x= 0 =)y= 0;x= 1 However, the point (1;0) is not in the interior so we discard it for now We check the boundary There are four lines to be considered the line x= 1 f( 1;y) = 32y2 4y The critical points of this function of yare found by setting the derivative to zero.
X2+y08 7x+y210. Telefonleitung JY(ST)Y 2x2 x 0,8 grau Meterware jetzt im HORNBACH Onlineshop bestellen!. Nos deshacemos de los paréntesis 1xx=0 Sumamos todos los números y todas las variables 2x10=0 Movemos todos los términos que contienen x al lado izquierdo, todos los demás términos al lado derecho 2x=10 x=10/2 x=5 El resultado de la ecuación 2x=x8 para usar en su tarea doméstica. y=0,5(x2)²8 0,5, ist der Streckfaktor der Parabel das minus bedeutet sie ist nach unten geöffnet 2 istder xwert und 8 der yWert füür den Scheitel wenn man die scheitelpunktform in eine Normalform umwandelt y=0,5x²2x6 erkennt man das bei x=0 y=6 ist dementsprechen kann man dann für die Wertetabelle einen Bereich auswählen für x von.
R = K 8 1 0 1 x < y 8 R x links von y R vollst¨andig (keine L¸cken) Q = K Q 8 1 0 1 x < y 8 Bild von Q viele L¸cken, unsichtbar K total geordneter K¨orper bereits gezeigt x ∈K =⇒ •x > 0 •x = 0 •x < 0 (Die Falle schliessen sich aus =⇒antisym) totale Ordnung angewandt auf (x,0) =⇒x2 ≥0,x 6= 0 = ⇒x2 > 0 speziell 1 = 12 > 0 Inverses Proposition 111 (i) x > 0. X = 0 f(0,y) = 4y − 2 Dies wird maximal f¨ur y = 5 mit f(0,5) = 18 und minimal f¨ur y = 0 mit f(0,0) = −2 x = 5 f(5,y) = 9y −52 Dies wird maximal fur¨ y = 5 mit f(5,5) = −7 und minimal f¨ur y = 0 mit f(5,0) = −52 y = 0 f(x,0) = −2x2 − 2 = g 1(x) Wegen g0 1 (x) = −4x 6 0 fur¨ x ∈ 0,5 ist g 1 auf 0,5 monoton fallend Daher sind 0 und 5 die Extremstellen von g. Δ > 0 There is minimum if f xx < 0 and a maximum if f yy > 0 Δ < 0 there is a saddle point Δ = 0 Further analysis is necessary So we have f (x,y) = 2x3 xy2 5x2 y2 Let us find the first partial derivatives.
Answer X = 0, y = 0 Stepbystep explanation 1/x 1/y = 8 Yx / xy = 8 Y x = 8xy X y = 8xy (1) 4x 2y = 2 4y 2x / xy = 2 4y 2x = 2xy. Select a few x x values, and plug them into the equation to find the corresponding y y values The x x values should be selected around the vertex Tap for more steps Replace the variable x x with 0 0 in the expression f ( 0) = ( 0) 2 − 2 ⋅ 0 − 8 f ( 0) = ( 0) 2 2 ⋅ 0 8 Simplify the result. Sumamos todos los números y todas las variables 4X6=0 Movemos todos los términos que contienen X al lado izquierdo, todos los demás términos al lado derecho 4X=6 X=6/4 X=11/2 El resultado de la ecuación (X8)2 (y7)2=4 para usar en su tarea doméstica.
2x 3 (yx) 2 D (yx) = 0 , 2x 3 (yx) 2 (y'1) = 0 , so that (Now solve for y' ) 2x 3 (yx) 2 y' 3 (yx) 2 = 0 , 3 (yx) 2 y' = 3 (yx) 2 2x, and Thus, the slope of the line tangent to the graph at (1, 3) is , and the equation of the tangent line is y ( 3 ) = (5/6) ( x ( 1 ) ) , or y = (7/6) x (13/6) Click HERE to return to. Einsetzverfahren (2) 1 Einsetzverfahren (2) I a1·xb1·y = c1 II a2·xb2·y = c2 • Gleichung I oder II nach x oder y auflösen • Term in die andere Gleichung einsetzen • Gleichung nach der Unbekannten auflösen • zweite Unbekannte berechnen I 3x 5y = 19 II 7x 5y = 31 I nach x auflösen 3x 5y = 19 3x 5y = 19 / − 5y 3x = 19 − 5y / 3 x = 61 3 − 12 3 y I in II 7(61 3 − 12 3. X y =8x y =10⇒ sumamos amba ecuaciones, se eleminan las y y queda 2x = 18x=9reemplazamos9 y =8y = 1 ray123 ray123 Matemáticas Secundaria contestada Xy=8 xy=10 indicar el valor de y 2 Ver respuestas Publicidad Publicidad sakura1 sakura1 X y =8 x y =10 ⇒ sumamos amba ecuaciones, se eleminan las y y queda 2x = 18 x=9.
Solve your math problems using our free math solver with stepbystep solutions Our math solver supports basic math, prealgebra, algebra, trigonometry, calculus and more. Y'' y = 0, y(0)=2, y'(0)=1 Natural Language;. Xy=10, xy=4 Natural Language;.
For example, the equations x 2y = 10 and 3x y = 3 form simultaneous equations Solution A value or set of values that make the simultaneous equations true For example, the solution to the equations 2x 3y = 15 and x y = 10 is x = 3 and y = 7 Simultaneous equations are used when trying to find the intersection of two lines (two equations) or three planes (three equations) If. Use the quadratic 'Complete the Square' method x^2 6x y^2 4y = 12 Then take 1/2 of the 'b' term for both quadratic expressions, square those values and add them to both sides x^2 6x 9 y^2 4y 4 = 12 9 4 (x 3)^2 (y 2)^2 = 25 Circle centered at (3,2) with radius = 5 Precalculus Science Anatomy & Physiology Astronomy Astrophysics Biology Chemistry Earth. Xy=8;xy=2 Simple and best practice solution for xy=8;xy=2 Check how easy it is, to solve this system of equations and learn it for the future Our solution is simple, and easy to understand, so don`t hesitate to use it as a solution of your homework If it's not what You are looking for type in the system of equations solver your own.
Solution for 2x^210x8=0 equation Simplifying 2x 2 10x 8 = 0 Reorder the terms 8 10x 2x 2 = 0 Solving 8 10x 2x 2 = 0 Solving for variable 'x' Factor out the Greatest Common Factor (GCF), '2' 2(4 5x x 2) = 0 Ignore the factor 2 Subproblem 1 Set the factor '(4 5x x 2)' equal to zero and attempt to solve Simplifying 4 5x x 2 = 0 Solving 4 5x x 2. Hence evaluate Δ = f xxf yy − f 2 xy at each of these points Determine the nature of the extrema;. Klammer ist 0 x 2 = 0 ⇐⇒ x = 2 3 Klammer ist 0 x 5 = 0 ⇐⇒ x = 5 Offensichtlich hat die Gleichung also drei Lösungen, nämlich die Gegenzahlen der Zahlen in den Klammern;.
Aufgabe 4 KürzenSiesoweitwiemöglich a) 144 168 b) 42ab2c 22a2bc füra,b,c6= 0 c) −x2y −2yx fürx6= 2 y d) 3xu−4xv6yu−8yv xv−3xu2yv−6yu fürx6=−2y,v6= 3 u Lösung a) 144 168 = 36 42 = 6 7 b) 42ab2c 22a2bc 21b 11a c) −x2y −2yx −x2y −(−x2y) = −1 d) 3xu−4xv6yu−8yv xv−3xu2yv−6yu x(3u−4v)2y(3u−4v) x(v−3u)2y(v−3u) (x2y)(3u−4v)(x2y)(v−3u). 2x 2 x 21 = 0 Lösung Beispiel 3 Versuchen wir zuerst schreibt 2 x 2 x 21 in der Form berücksichtigt 2x 2 x 21 = (2x a) (x b) So dass das Produkt ab, um Equat ist 21 und a b 2 = 1 zwei Paar Zahlen erhält man ein Produkt von 21 entweder 3 und 7 bzw 3 und 7 Nach einigen Übungen Studie festgestellt, dass 2 x 2 x 21 Mai berücksichtigt werden wie folgt 2x. Extended Keyboard Examples Upload Random Compute answers using Wolfram's breakthrough technology & knowledgebase, relied on by millions of students & professionals For math, science, nutrition, history, geography, engineering, mathematics, linguistics, sports, finance, music WolframAlpha brings expertlevel.
The points (x,y,z) of the sphere x 2 y 2 z 2 = 1, satisfying the condition x = 05, are a circle y 2 z 2 = 075 of radius on the plane x = 05 The inequality y ≤ 075 holds on an arc The length of the arc is 5/6 of the length of the circle, which is why the conditional probability is equal to 5/6 This successful geometric explanation may create the illusion that the following. PRO Find the asymptotes of the curve x (x2 y²) y (3y x) Oand prove that the three points where these asymptotes cut the curve lie on 7x 3y 6 = 0 Grade Bsc 1 year Subject Mathematics On a coordinate plane, a solid straight line has a positive slope and goes through (negative 4, 0) and (0, 2). El método de eliminación para resolver sistemas de ecuaciones lineales usa la propiedad de la igualdad de la suma Puedes sumar el mismo valor a cada lado de la ecuación Entonces si tienes un sistema x – 6 = −6 y x y = 8, puedes sumar x y al lado izquierdo de la primera ecuación y suma 8 a la derecha de la ecuación Y como x y = 8, estas sumando el mismo valor a cada lado de.
2x 8x 6 = 0 2 8 6 = 0 alors x = 1 et x = 6/2 = 3 Si 2x 8x 6 = 0 2 8 6 = 0 alors x = 1 et x =. Und die Lösungsmenge ist L = {5, 2, 3} Leider liegen die allerwenigsten Gleichungen in dieser praktischen Form vor, in der man an den (linearen) Faktoren die Lösungen direkt ablesen kann Wenn wir. SOLUTION 1 Begin with x 3 y 3 = 4 Differentiate both sides of the equation, getting D ( x 3 y 3) = D ( 4 ) , D ( x 3) D ( y 3) = D ( 4 ) , (Remember to use the chain rule on D ( y 3) ) 3x 2 3y 2 y' = 0 , so that (Now solve for y' ) 3y 2 y' = 3x 2, and Click HERE to return to the list of problems SOLUTION 2 Begin with (xy) 2 = x y 1 Differentiate both sides.
Find the Center and Radius x^2y^28x6y24=0 x2 y2 8x − 6y − 24 = 0 x 2 y 2 8 x 6 y 24 = 0 Add 24 24 to both sides of the equation x2 y2 8x−6y = 24 x 2 y 2 8 x 6 y = 24 Complete the square for x2 8x x 2 8 x Tap for more steps Use the form a x 2 b x c a x 2 b x c, to find the values of a a, b b, and. Den Wert von x berechnen ist ganz einfach 8 * (3 2x) 5 * (3x 1) = 8 * (1 x) Erstmal musst Du alle Klammern auflösen Dafür multiplizierst Du die Zahl vor der Klammer mit den Zahlen in der Klammer. 2 Bsp 5·(x – 2) = 7 3 Aus dem 1 Bsp sieht man Wenn man statt x die Zahl 4 schreibt, so ergibt die linke Seite der Gleichung den richtigen Wert 10 Man findet übrigens keine andere Zahl, die man für x einsetzen kann, um links insgesamt auf den Wert 10 zu kommen Die "richtige" Lösung für x ist also die 4 Man schreibt die Lösungsmenge auf L={4} oder noch einfacher x=4 Bei.
Logarithmiert man die Funktionsgleichung y=10 x, so erhält man lg(y)=lg(2)x oder lg(y)=x Trät man lg(y) gegen x auf, so erhält man als Graphen die erste Winkelhalbierende Das ist die rote Gerade Die Skala der yAchse heißt logarithmische Skala Es gilt zB lg(100)=2 und lg(0,01)= 2. 1 y =2x 2 x =2y 3 x2 y2 =8 Notice that if one variable is zero, then the other is as well This violates equation (3), so we don’t need to consider it Let’s substitute (1) into (2) x =42x =) = ± 1 2 Plugging this value into equations (1) and (2) give us the following equation y = ±x We can then plug this into equation (3) Then 2 x2. Solve your math problems using our free math solver with stepbystep solutions Our math solver supports basic math, prealgebra, algebra, trigonometry, calculus and more.
0 y(x2 xy 3)dydx Example 2 X and Y are jointly continuous with joint pdf f(x,y) = ˆ cxy if 0 ≤ x, 0 ≤ y, xy ≤ 1 0, otherwise (a) Find c (b) Find P(Y > X) (c) Find marginal pdf’s of X and of Y (d) Are X and Y independent (justify!) We start (as always!) by drawing the support set (See below, left) y y 1 y=x 1 x 1 x 1 y=1−x of support set with y>x Blue subset support. Alfons Schmitt , Promotion Physik, Universum (1980) Beantwortet Vor 2 Jahren Autor hat 3940 Antworten und Antwortaufrufe 1/7 * 7 ^ x 4 ^ x 3 ^ x 2 ^ x 10 = 0 ( 1a ) Jetzt wieder die übliche Näherung in dreistelligen Logarithmen 1/7 * 10 ^ 845 x 10 ^ 602 x 10 ^ 477 x 10 ^ 301 x 10 = 0 ( 1b ). Unter der Nebenbedingung g(x;y) = (x 1)2 y= 0 Es genugt auch, das Quadrat des Abstandes zu minimieren, also d(x;y) zu ersetzen durch q(x;y) = (x 2)2 y2 Aufgabe 5 Klassi zieren Sie die folgenden Di erentialgleichungen (Ordnung, (Nicht)Linearit at, ggf (In)Homogenit at, Art der Koe zienten) Dabei gelte y= y(x) a) y00 2y0 y= 0 b) yy0 2xy= x2 c) y000 y0 1 2 y= xsinx L.
Extended Keyboard Examples Upload Random Compute answers using Wolfram's breakthrough technology & knowledgebase, relied on by millions of students & professionals For math, science, nutrition, history, geography, engineering, mathematics, linguistics, sports, finance, music WolframAlpha brings expertlevel knowledge. Values The Qfunction is well tabulated and can be computed directly in most of the mathematical software packages such as R and those available in Python, MATLAB and MathematicaSome values of the Qfunction are given below for reference. X2 y2 stetig ist) konvergiert die Folge (g n) n2N gleichm aˇig gegen fauf D, also lim n!1 sup (x;y)2D jg n(x;y) f(x;y)j= 0 Daraus folgt o ensichtlich, dass auch g nj @D gleichm aˇig gegen fj @D konvergiert auf @D Damit konvergiert auf @D Damit.
(man beachte, dass sup (x;y)2D jx 2 y2jendlich ist weil Dkompakt und die Funktion (x;y) 7!. 2*x y = 10 not 10 doesn't satisfy the equationviewing this on a graph should help to make it clearer to make the graph, we go back to the equations showing equality againfirst equation x y = 8 convert to slopeintercept form (y = m*x b) y = (x) 8 slope is 1 yintercept is 8 when x = 0, y = 8 when y = 0, x = 8. Diesmal beide nach x auflösen und gleichsetzen I y 2x = 16 y 2x = 16 y 2 I' x = 8 0,5y II 3y x 8 = 0 x II' 3y 8 = x I'=II' 8 0,5y = 3y 8 0,5y 8 0 = 3,5y y = 0 In II' x = 8 0 = 8 Probe I y 2x = 16 0 2·8 = 16 OK II 3y x 8 = 0 0 8 8 = 0 OK S 19, Nr 2 a) 2x 5y = 9 y = 3x 12 rechte Seite von II in I für y einsetzen 2x 5y = 9 2x 5.
Ex 46, 11 Solve system of linear equations, using matrix method 2x y z = 1 x – 2y – z = 3/2 3y – 5z = 9 The system of equation is 2x y z = 1 x – 2y – z = 3/2 3y – 5z = 9 Writing above equation as AX = B 8(2&1&1@1&−2&−1@0&3&−5) 8(𝑥@𝑦@𝑧. Ex 32, 11 If x 8(2@3) y 8(−1@1) = 8(10@5) , find values of x and y x 8(2@3) y 8(−1@1) = 8(10@5) 8(2𝑥@3𝑥) 8(−𝑦@𝑦. Garantierte Dauertiefpreise, Beratung und Service bei HORNBACH.

Launching Version 12 3 Of Wolfram Language Mathematica Wolfram Blog

R D Sharma Class 10 Solutions Maths Chapter 3 Pair Of Linear Equations In Two Variables Exercise 3 3
What Is The Value Of X In The Equation 4x 8y 40 When Y 0 8 Quora
X2+y08 7x+y210 のギャラリー
Vrh8aihq7j4ghm

The Equation Of A Stationary Wave Is Y 0 8cos Pix Sin 0pi T Where X Is In Cm And T Is In Seconds The Separation Between Consecutive Nodes Is

If X 2 Y 0 8 And 7 X Y 2 10 Then Value Of X Y Is

Level U 2 3x 7y 10 0 Y 2x 3 0 Solde The Following Systems Of Equations 1 11x 15y 23 0 7x 2y
Solve The Following Systems Of Equations X 2 Y 0 8 Sarthaks Econnect Largest Online Education Community
R D Sharma Solutions Class 10th Ch 3 Pair Of Linear Equations In Two Variables Exercise 3 3

Efficient Scalar Multiplication Of Ecc Using Smbr And Fast Septuple Formula For Iot Eurasip Journal On Wireless Communications And Networking Full Text

Level U 2 3x 7y 10 0 Y 2x 3 0 Solde The Following Systems Of Equations 1 11x 15y 23 0 7x 2y

Tc Estimating Statistical Errors In Retrievals Of Ice Velocity And Deformation Parameters From Satellite Images And Buoy Arrays
Ualberta Ca

Long Term Dietary Supplementation With Plant Derived Omega 3 Fatty Acid Improves Outcome In Experimental Ischemic Stroke Atherosclerosis

Rd Sharma Class 10 Solutions Maths Chapter 3 Pair Of Linear Equations In Two Variables Exercise 3 3

Foods Free Full Text Efficient Production Of Dried Whole Peanut Fruits Based On Infrared Assisted Spouted Bed Drying Html

Efficient Scalar Multiplication Of Ecc Using Smbr And Fast Septuple Formula For Iot Eurasip Journal On Wireless Communications And Networking Full Text

The Linear Density Of A Vibrating String Is 1 3 10 4 Kg M A Transverse Wave Is Propagating On The String And Is Described By The Equation Y 0 021 Sin X 30t

Scientific Opinion On The State Of The Science On Pesticide Risk Assessment For Amphibians And Reptiles 18 Efsa Journal Wiley Online Library

Applied Numerical Methods Question Bank
R D Sharma Solutions Class 10th Ch 3 Pair Of Linear Equations In Two Variables Exercise 3 3

Frontiers Children And Adults In A Household Cohort Study Have Robust Longitudinal Immune Responses Following Sars Cov 2 Infection Or Exposure Immunology

Pharmaceuticals Free Full Text A Proline Based Tectons And Supramolecular Synthons For Drug Design 2 0 A Case Study Of Acei Html

Phf3 Regulates Neuronal Gene Expression Through The Pol Ii Ctd Reader Domain Spoc Nature Communications

Frontiers Assessment Of Ablative Margin After Microwave Ablation For Hepatocellular Carcinoma Using Deep Learning Based Deformable Image Registration Oncology

Solve The Equation Simultaneously X 2 Y 0 8 7 X Y 2 10 Brainly In

Solve For X Y X 2 Y 0 8 7 X Y 2 10 Brainly In
R D Sharma Solutions Class 10th Ch 3 Pair Of Linear Equations In Two Variables Exercise 3 3

Cp Early Holocene Cold Snaps And Their Expression In The Moraine Record Of The Eastern European Alps

Rd Sharma Solutions For Class 8 Chapter 6 Algebraic Expressions And Identities Download Free Pdf

Chapter 6 Joint Probability Distributions Probability And Bayesian Modeling
Solve Using Ellimination Method X 2 Y 0 8 And 7 X Y 2 10

Solve The System Of Equations Frac X 2 Y 0 8 And Frac 7 X Y 2 10 And Also Find The Value Of Frac X Y Snapsolve

Ionic Transport In La Sr Coo3 D Ceramics Springerlink

Solve The System Of Equations Frac X 2 Y 0 8 And Frac 7 X Y 2 10 And Also Find The Value Of Frac X Y Snapsolve

Three Dimensional Electrical Resistivity Modeling To Elucidate The Crustal Magma Supply System Beneath Aso Caldera Japan Hata 18 Journal Of Geophysical Research Solid Earth Wiley Online Library

X 2 Y 0 8 7 2x Y 2 10 Elimination Method Brainly In
R D Sharma Solutions Class 10th Ch 3 Pair Of Linear Equations In Two Variables Exercise 3 3

Frontiers Epidemiological Characteristics And Clinical Features Of Patients Infected With The Covid 19 Virus In Nanchang Jiangxi China Medicine
Arxiv

Pair Of Linear Equations In Two Variables Class 10 Solutions Exercise 3 3
X 2 Y 0 8 7 X Y 2 10

Rd Sharma Class 10 Solutions Maths Chapter 3 Pair Of Linear Equations In Two Variables Exercise 3 3
R D Sharma Solutions Class 10th Ch 3 Pair Of Linear Equations In Two Variables Exercise 3 3

Bone Morphogenetic Protein Bmp Ligands And Receptors In Bovine Ovarian Follicle Cells Actions Of Bmp 4 6 And 7 On Granulosa Cells And Differential Modulation Of Smad 1 Phosphorylation By Follistatin In Reproduction Volume 127 Issue 2 04

High Performance Geometric Nonlinear Analysis With The Unsymmetric 4 Node 8 Dof Plane Element Us Atfq4 Li 18 International Journal For Numerical Methods In Engineering Wiley Online Library

Frontiers Integrated Analysis Of The Transcriptome And Metabolome Revealed The Molecular Mechanisms Underlying The Enhanced Salt Tolerance Of Rice Due To The Application Of Exogenous Melatonin Plant Science

Polymers Free Full Text Insight Into The Alcohol Free Ring Opening Polymerization Of Tmc Catalyzed By Tbd Html
R D Sharma Solutions Class 10th Ch 3 Pair Of Linear Equations In Two Variables Exercise 3 3

Rd Sharma Solutions For Class 8 Chapter 6 Algebraic Expressions And Identities Download Free Pdf

Symmetry Free Full Text Polarity Free Magnetic Repulsion And Magnetic Bound State Html
Home Hvl No
Osti Gov

Neuronal Accumulation Of Peroxidated Lipids Promotes Demyelination And Neurodegeneration Through The Activation Of The Microglial Nlrp3 Inflammasome Nature Aging

X और Y क ल य हल क ज ए X 2 Y 0 8 7 X Y 2 10 Youtube

High Performance Thermoelectric Snse Aqueous Synthesis Innovations And Challenges Shi Advanced Science Wiley Online Library
R D Sharma Solutions Class 10th Ch 3 Pair Of Linear Equations In Two Variables Exercise 3 3
Arxiv Org

Migration Effects On The Intestinal Microbiota Of Tibetans Peerj

ロイヤリティフリーx2 Y2 最高のカラーリングのアイデア

Solve For X Y X 2 Y 0 8 7 X Y 2 10 Brainly In

Solve X 2 Y 0 8 7 X Y 2 10 Youtube
Solve The Following System Of Equations By Substitution Method X 2 Y 0 8 X Y 2 7 10 Sarthaks Econnect Largest Online Education Community

Pharmaceutics Free Full Text Targeting Beclin1 As An Adjunctive Therapy Against Hiv Using Mannosylated Polyethylenimine Nanoparticles Html

Energies Free Full Text Impact Of Municipal Road Traffic And Natural Sources On Pm10 The Hourly Variability At A Rural Site In Poland Html

The X Ray Halo Scaling Relations Of Supermassive Black Holes Iopscience

Pharmaceuticals Free Full Text Soft Coral Derived Dihydrosinularin Exhibits Antiproliferative Effects Associated With Apoptosis And Dna Damage In Oral Cancer Cells Html

Solve X 2 Y 0 8 And 7 X Y 2 10 Maths Pair Of Linear Equations In Two Variables 1147 Meritnation Com

Numerical Solutions Of Ordinary Differential Equations Ppt Download

Sampling Based Approximation Of Linear Functionals In Reproducing Kernel Hilbert Spaces Springerlink
Arxiv Org

X 2 Y 0 8 7 X Y 2 10 Brainly In

X और Y क ल य हल क ज ए X 2 Y 0 8 7 X Y 2 10 Youtube

Land Free Full Text Spatial Pattern And Driving Mechanism Of Urban Rural Income Gap In Gansu Province Of China Html
R D Sharma Solutions Class 10th Ch 3 Pair Of Linear Equations In Two Variables Exercise 3 3

Migration Effects On The Intestinal Microbiota Of Tibetans Peerj
R D Sharma Solutions Class 10th Ch 3 Pair Of Linear Equations In Two Variables Exercise 3 3

High Performance Geometric Nonlinear Analysis With The Unsymmetric 4 Node 8 Dof Plane Element Us Atfq4 Li 18 International Journal For Numerical Methods In Engineering Wiley Online Library

X 2 Y 0 8 7 X Y 2 10 Pls Find The Answer For This In Elimination Method X 7 Y 3 5 X 2 Y 9 6find For This Also Rn Maths Pair Of Linear Equations In Two Variables Meritnation Com
R D Sharma Solutions Class 10th Ch 3 Pair Of Linear Equations In Two Variables Exercise 3 3

If X 2 Y 0 8 And 7 X Y 2 10 Then The Value Of X Y

If X 2 Y 0 8 And 7 X Y 2 10 Find X Y Brainly In

X 2 Y 0 8and 7 X Y 2 10 By Elimination Method Brainly In

Ionic Transport In La Sr Coo3 D Ceramics Springerlink
Arxiv Org

Transports And Net Fluxes Of Surface Wave Energy And Momentum Inside Tropical Cyclones Spectrum Computation And Modeling In Journal Of Physical Oceanography Volume 50 Issue 11

Efficient Scalar Multiplication Of Ecc Using Smbr And Fast Septuple Formula For Iot Eurasip Journal On Wireless Communications And Networking Full Text

If X 2 Y 0 8 And 7 X Y 2 10 Then Value Of X Y Is
Www2 Imperial Ac Uk

Non Linear Plane Gravitational Waves As Space Time Defects Springerlink

Heuristic Algorithms For Best Match Graph Editing Algorithms For Molecular Biology Full Text

Annotating Plots Matplotlib 3 5 1 Documentation

A Nonlinear Multiscale Theory Of Atmospheric Blocking Structure And Evolution Of Blocking Linked To Meridional And Vertical Structures Of Storm Tracks In Journal Of The Atmospheric Sciences Volume 78 Issue 10 21

0 4x 0 3y 1 7 And 0 7x 0 2y 0 8 By Elimination Method Brainly In

X 2 Y 0 8 X Y 2 7 10 X 2 Y 0 8 X Y 2 7 10 क प रत स थ पन व ध स हल कर Youtube

X 2 Y 0 8 7 X Y 2 10 10 Maths Linear Equations In One Variable Meritnation Com

Launching Version 12 3 Of Wolfram Language Mathematica Wolfram Blog

X 2 Y 0 8 7 X Y 2 10 10 Maths Linear Equations In One Variable Meritnation Com

Horticulturae Free Full Text The Antioxidant Defense System During Lanzhou Lily Scales Storage Is Modulated By Hydrogen Sulfide Html
R D Sharma Solutions Class 10th Ch 3 Pair Of Linear Equations In Two Variables Exercise 3 3



