Utan 12xyx2 Y2
Problems on Partial Differentiation U=log (x^2y^2z^2) , U=tan^1 (2xy/x^2y^2), Z=f (xay) Q (xay) If playback doesn't begin shortly, try.
Utan 12xyx2 y2. By symmetry (interchanging x and y), zy = ;. Question 2 (p86 #12) Find the harmonic conjugate of tan −1x y where −π < tan x y ≤ π Solution Write u(x,y) = tan−1 x y ThenbytheCauchyRiemannequations, ∂u ∂x = y2 x2 y2 1 y = y x2 y2 = ∂v ∂y (1) − ∂u ∂y = − y2 x 2y −x y 2 = x x2 y = ∂v ∂x (2) By (1), v = 1 2 log(x2 y2)C(x), and. From equation (1) x 2 y 2 = (x y) 2 – 2xy x 2 y 2 = (x – y) 2 2xy Algebraic identities If A and B are complementary angles, then (a) sin A = sin B (b) cos A = cos B (c) tan A = tan B (d) Simple interest on an amount at 4% per annum for 13 months is more than the simple interest on the s Find the square root of 9604 by.
Get stepbystep solutions from expert tutors as fast as 1530 minutes Your first 5 questions are on us!. Explanation We will be differentiating implicitly On the left hand side, we will use the chain rule in regards to the inverse tangent function d dx (arctan(u)) = u' 1 u2 Also, note that the product rule will be used for d dx (x2y) and, eventually, d dx (xy) Differentiating gives. Therefore at (1,2,4), we get wx = −4, wy = 4, so that the tangent plane is w = 4−4(x −1)4(y −2), or w = −4x 4y x x y 2B2 a) zx = = ;.
let y be the function of x defined implicitly by the equation x^2 2xy 2y^4=1 find the value of x where y obtains its maximum value math If sinθ=7/13 and cosθ=12/13 find tan θ and cot θ Use Pythagorean Identities to find sin θ and tan θ if cos θ =24/25 if the terminal side of θ lies in the third quadrant. Tangent of x^22xyy^2x=2, (1,2) \square!. Misalkan bentuk implisit x 2 y 3 2xy 2 – 3x y – 1 = 0 maka y(x 2 y 2 2xy 1) – 3x – 1 = 0 maka dirubah bentuknya menjadi Differensial Parsial dan Differensial Total Definisi.
Find an equation of the tangent line to the curve (x^2)(e^y)(ye^x)=4 at the point (2,0) asked in CALCULUS by payton Apprentice implicitdifferntiation. \frac{1}{1 \frac{y^2}{x^2}} \bigg. 2 PARTIAL DIFFERENTIATION 1 b) wx = −y2/x2, wy = 2y/x;.
Question 1Use the chain rule to find dzdtdzdt, where z=x2yxy2,x=−2t6,y=−5t5z=x2yxy2,x=−2t6,y=−5t5 First the pieces 2If z=xy4z=xy4 and x=e−tx=e−t and y=sin(t)y=sin(t), find the following derivative using the chain rule Enter your answer as a function of tt. Calculus questions and answers Problemshow that the function Z=tan^1 (2xy)/ (x^2y^2) satisfies the laplace equationI understand I need to take the partial with respect to X and the partial with respect to y The sum of the partial of x and y should equel zero to make the laplace correct I can't get it to zero outplease help. F(y,x 1,x 2)=0 where the partial derivatives are ∂F/∂x 1 = F x 1, ∂F/∂x 2 = F x 2 and ∂F/∂y = F yThis class of functions are known as implicit functions where F(y,x 1,x 2)=0implicity define y = y(x 1,x 2) What this means is that it is possible (theoretically) to rewrite to get y isolated and expressed as a function of x 1 and x 2.
If u = x 2 − y 2, v = 2 x y a n d z = f ( u, v) prove the following written 54 years ago by shailymishra30 ♦ 450 modified months ago by sanketshingote ♦ 740 ( ∂ z ∂ x) 2 ( ∂ z ∂ y) 2 = 4 u 2 v 2 ( ∂ z ∂ u) 2 ( ∂ z ∂ v) 2 engineering mathematics 1 ADD COMMENT EDIT. Stack Exchange network consists of 178 Q&A communities including Stack Overflow, the largest, most trusted online community for developers to learn, share their knowledge, and build their careers Visit Stack Exchange. Tan^{1} (\frac{y}{x}) \\ \;.
Given, u=tan −1( xyx 2y 2 ) ⇒tanu= (xy)x 2y 2 On differentiating both the sides wrt x and y respectively, we get sec 2u dxdu. If u= tan^1 (y^2/x) , show that x^2 d^2u/dx^2 y^2d^2u/dy^2 2xy d^2u/dxy^ if u= tan^1 (y^2/x) , show that x^2 d^2u/dx^2 y^2d^2u/dy^2 2xy d^2u/dxy^2 =sin2usin^2u Share Please log in or register to add a comment Please log in or register to answer this question Found 1 answer. Ask Questions, Get Answers Menu X home ask tuition questions practice papers mobile tutors pricing.
If u = x^2tan^1 (y/x) y^2tan^1 (x/y) , then find ∂^2u∂x∂y. Section 3 Directional Derivatives 8 Quiz Select a point from the answers below at which the scalar field f(x,y,z) = x2yz −xy2z decreases in the y direction (a) (1,−1,2), (b) (1,1,1),. 2 1 22 2 2 2 1 tan uxy ab yxy x yx ∂=− ∂ ()() 1 22 2 tan ybx a xy =− ()() 2 22 1 2222 222 ( )2 2 2 ( 1)(2 ) tan u xy yy bx y a yxyxy ∂=− −⋅ ⋅− ∂ (2) 22 1 222 2 22 2( ) 2 tan ()( ) xy bxy a xy xy − − =− Adding (1) and (2), we get 22 22 0 uu xy ∂∂ = ∂∂ (ii) Let } cos sin xr yr =θ =θ so.
1 Inform you about time table of exam 2 Inform you about new question papers 3 New video tutorials information. How do you use Implicit differentiation find #x^2 2xy y^2 x=2# and to find an equation of the tangent line to the curve, at the point (1,2)?. Then the x2 y2 z z tangent plane is z = z0 0 x0 (x−x y0 x0 x y0 y , since x2y2 = z2 0) (y−y0), or z =.
If u = tan1 (y/x), then by Euler’s theorem the value of x ∂u/∂x y ∂u/∂y = If U And V Are Unit Vectors And Theta Is The Acute Angle Between Then 2u X 3v Is A Unit Vector For If U V W Are Non Coplanar Vectors And P Q Are Real Numbers Then The Equality 3 U P V P W. Why create a profile on Shaalaacom?. 1 BASICCONCEPTS 2 2 Verify that for all pairs of differential functions f and g of one variable, u(x,y) = f(x)g(y) is a solution of the PDE uuxy = uxuy Solution First, compute ux, uy and uxy ux = g(y)f′(x) uy = f(x)g′(y) uxy = f′(x)g′(y) Substituting into the PDE, we have.
`=1/121/12sec^2"U"1=1/12(1tan^2u)/121` `=1/144tan"U"tan^2"U"13` `therefore x^2(del^2u)/(del^2x) 2xy(del^2u)/(delxdely) y^2(del^2u)/(del^2y)=tanu/144tan^2"U"13` Hence. Then make the substitution x = r cos theta, y = r sin for Teachers for Schools for Working Scholars. If u = tan –1 (x 2 y 2 / x y), prove that x ∂u/∂x y ∂u/∂y = 1/2 sin 2u.
Partial Differential Equations Exam 1 Review Solutions Spring 18 Exercise 1 Verify that both u= log(x2y2) and u= arctan(y=x) are solutions of Laplace’s equation u xx u yy= 0 If u= log(x2 y2), then by the chain rule u x= 2x x 2 y) u xx= (x2 y2)(2) (2x)(2x) (x 2 y) 2y2 2x2 (x y2)2 and by the symmetry of uin xand y,. Example 1 Find the xand yderivatives of z = (x2y3 sinx)10 Solution To find the xderivative, we consider y to be constant and apply the onevariable Chain Rule formula d dx (f10) = 10f9 df dx from Section 28 We obtain ∂ ∂x (x2y3 sinx)10 = 10(x2y3 sinx)9 ∂ ∂x (x2y3 sinx) = 10(x2y3 sinx)9(2xy3 cosx). I just want to know how you get sinx=2u/(u^21) and cosx=(1u^2)/(u^21) from tan(x/2) After that I can use that to plug in the integral sinx/(sinxcosx) to.
W r t x, \\ \frac{\partial u}{\partial x} \;. Answer (1 of 4) How do I solve this differential equation 2xydy(x^2y^21) dx=0. Answer to Show that the function z = tan^1(2xy/(x^2 y^2)) satisfies Laplace's equation;.
If u= tan1 (y/x), then find d 2 u/dx 2, d 2 u/dy 2 class12;. F (x,y)=x^2y^2 WolframAlpha Volume of a cylinder?. 22 Limits and continuity The absolute value measures the distance between two complex numbers Thus, z 1 and z 2 are close when jz 1 z 2jis smallWe can then de ne the limit of a complex function f(z) as follows we write.
Complex variables 2marks 1 A harmonic function is analytic if it satisfies the Laplace equation If 𝑢 (𝑥,𝑦) = 2𝑥2 −2𝑦2 4𝑥𝑦 is a harmonic function, then its conjugate harmonic function 𝑣 (𝑥,𝑦) is where u is harmonic then v is called its harmonic conjugate 1. V^a y nghi^e m y = ±x 14) Tm nghi^e m ri^eng cu' a phu o ng trnh y sin x = y ln y thoa' ma~ n di^e u ki^e n d^a u y( π 2 ) = e HD gia’i y sin x = y ln y ⇐⇒ dy y ln y = dx sin x ⇐⇒ ln y = C tan x 2 ⇐⇒ y = e C tan x 2 thoa' ma~ n di^e u ki^e n d^a u y( π 2 ). Nope, this is serious.
EULERS LINKS solve z homogeneous function degree n show x^2Ә^2u/Әx^2 y^2Ә^2u/Әy^22xy^2u/Әx Әy =n(n1)z https//youtube/gnn51DwOhA If u=x/(yz)y/(xz). \tan \log 1 2 3\pi e x^{\square} 0 \bold{=} Go Related » Graph » Number Line » Examples » Our online expert tutors can answer this problem tangent\of\y=\sqrt{x^21},\(0,\1) tangentlinecalculator Tangent of y=x^{2}, at (2,4) en Related Symbolab blog posts Slope, Distance and More Ski Vacation?. Section 145 (3/23/08) Directional derivatives and gradient vectors Overview The partial derivatives fx(x0,y0) and fy(x0,y0) are the rates of change of z = f(x,y) at (x0,y0) in the positive x and ydirectionsRates of change in other directions are given by directional.
Section 1 Theory 3 1 Theory M(x,y) = 3x2 xy is a homogeneous function since the sum of the powers of x and y in each term is the same (ie x2 is x to power 2 and xy = x1y1 giving total power of 11 = 2) The degree of this homogeneous function is 2 Here, we consider differential equations with the following standard form dy dx = M(x,y. Now, y = x± q x2 −4(x2 −7) 2 = x± √ 28−3x2 2 Take the positive root since y(1) = 3 The restriction on x would be that 28−3x2 ≥ 0 Therefore, − s 28 3 < x < s 28 3 5 Problem 15 (xy2 bx2y)dx(xy)x2 dy = 0 First, for this to be exact. Assignment 2 — Solutions 1 Let R = ln(u2 v2 w2), u = x 2y, v = 2x − y, and w = 2xy Use the Chain Rule to find ∂R ∂x and ∂R ∂y when x = y = 1 Solution The Chain Rule gives ∂R ∂x = ∂R ∂u ∂u ∂x ∂R ∂v ∂v ∂x ∂R ∂w ∂w ∂x = 2u u2 v 2w ×1 2v.
Find dy/dx x^2y^2=2xy Differentiate both sides of the equation Differentiate the left side of the equation Tap for more steps Differentiate Tap for more steps By the Sum Rule, the derivative of with respect to is Differentiate using the Power Rule which states that is where. Share It On Facebook Twitter Email 1 Answer 2 votes answered by Reyansh (191k points) selected by faiz Best answer Given u= tan1 (y/x), ← Prev. Piece of cake Unlock StepbyStep Natural Language Math Input.
EXAMPLE 1412 We have seen that x2 y2 z2 = 4 represents a sphere of radius 2 We cannot write this in the form f(x,y), since for each x and y in the disk x2y2 < 4 there are two corresponding points on the sphere As with the equation of a circle, we can resolve 349. Calculus Basic Differentiation Rules Implicit Differentiation. Answer (1 of 3) 2xtan ydxsec^2ydy=0 2xdx=sec^2ydy/tan y Integration both sides x^2 = log (tan y) C log (tan y)= C x^2 tan y = e^(Cx^2) tan y = e^Ce^x^2 tan y= ke^x^2 or y = tan^1(ke^x^2) Answer.
Try to make x y ′ a derivative That is achieved by setting v ( u) = y ( u 2), that is, x = u 2, so that v ′ ( u) = 2 y ′ ( u 2) u and v ′ ( u) 2 = 4 x y ′ ( x) 2) Inserted into the equation this gives v ( u) = u v ′ ( u) tan − 1 . Solutions to exercises 15 Exercise 2 Standard form (y2 −2x)dx2xydy = 0 Exact if ∂P ∂y = ∂Q ∂x, where P(x,y) = y2 −2x Q(x,y) = 2xy ∂P ∂y = 2y = ∂Q ∂x ie ode is exact ∴ u(x,y) exists such that du = ∂u ∂x dx ∂u. APPM 4360/5360 Homework #2 Solutions Spring 16 Problem #1 (10 points) Verifyif thefunction f (x,y)=sinx coshy i cosx sinhy satisfies the CauchyRiemann conditions If it does, find the associated analyticfunction f (z) Solution Let f (x,y)=u(x,y)iv(x,y)where u and v arereal.

If U X 2tan 1 Y X Y 2tan 1 X Y Prove That Del 2u Delxdely X 2 Y 2 X 2 Y 2
Studentportalen Uu Se

Ex 9 6 14 Find Particular Solution 1 X2 Dy Dx 2xy
Utan 12xyx2 Y2 のギャラリー

Solved If Z Tan 1 X Y And X U2 V2 And Y U2 Chegg Com
Math Kth Se

Ex 9 6 14 Find Particular Solution 1 X2 Dy Dx 2xy

If U Log X 2 Y 2 X Y Prove That X Delu Delx Y Delu Dely 1
If U Tan 1 X 3 Y 3 X Y Prove That X U X Y U Y Sin 2u Sarthaks Econnect Largest Online Education Community
Solved A X Y 1 If X R Cos 0 Y R Sin E Find A R 0 Chegg Com

Ex 5 7 17 If Y Tan 1 X 2 Show X2 1 Y2 2x X2 1

If U X 2tan 1 Y X Y 2tan 1 X Y Then Find 2u X Y

If Y 1 2sin 1 2xy X 2 Y 2 And Y X Then Lim Y 0 X
Solved 1 If X R Cos 0 Y R Sin O Find A X Y Are Chegg Com
Solved 1 Find The Partial Derivatives Of The Following Chegg Com

Solved Solve The Initial Value Problem A 4 1 I Ze Chegg Com

X Y 37 If U Tan 1 X Y Prove Thatx2 Com A 2xy Y2 C

Partial Differentiation

Eulers Partial Derivative Solve U Tan 1 X 3 Y 3 X Y Youtube
If U X 2tan 1 Y X Y 2tan 1 X Y Prove That 2u Y X X 2 Y 2 X 2 Y 2 Sarthaks Econnect Largest Online Education Community
Partial Differentiation

If U Tan 1 2xy X 2 Y 2 Then Prove Uxx
Find Dy Dx When X And Y Are Connected By The Relation Tan 1 X2 Y2 A Studyrankersonline

Solved Use This Fact To Soive Of Parameters To Solve The Following Problems Use The Method Of Variation Y 4y 0 Y 3y 2y E 22 1 Y

Worked Example Implicit Differentiation Video Khan Academy

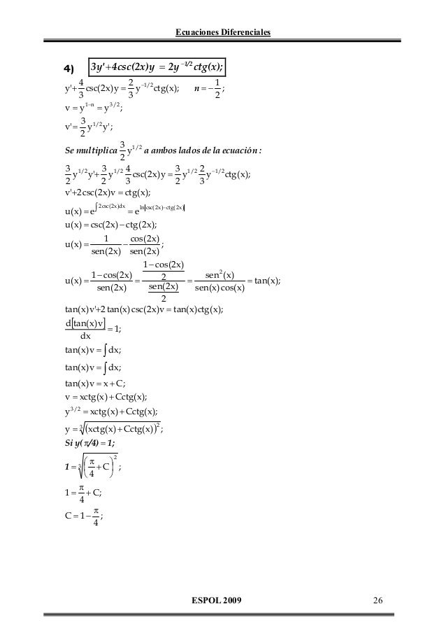
Solucionario Ecuaciones Diferenciales

2 Euler S Theorem Problem 2 Most Important Problem Partial Differentiation Youtube

Ex 5 3 4 Find Dy Dx In Xy Y2 Tan X Y Chapter 5

Visa Att 3 Rata Linjer Gar Genom Samma Punkt Matematik Matte 2 Linjara Funktioner Och Ekvationssystem Pluggakuten
If U Tan 1 X 2 Y 2 X Y Then X D U D X Yd U D Y
Whitman Edu

Ex 9 4 4 Find General Solution Sec2 X Tan Y Dx Sec2y
How To Solve Show The Differential Equations Are Exact 2xy Y Tany Dx X 2 X Tany 2 Secy 2 2 Dy 0 Te Tx 2x Dx Dt Xe Xt 0 Quora

If Tan 1 X2 Y2 X2 Y2 A Prove That Dy Dx X 1 Tana Y 1 Tana Brainly In

If Log X 2 Y 2 Tan 1 Yx Then Prove That Dydx X Yx Y

If Logsqrt X 2 Y 2 Tan 1 Y X Then Dy Dx Is
Solved X Y X Y 1 U Tan A If Aาน A U น 2xy Ox Chegg Com

If U Tan Inverse Xy Square Root 1 X Y Then Show That Del U Del X Del Y 1 1 X Y To The Power Brainly In
If U Log X 2 Y 2 Z 2 Verify 2u X Y 2u X Y

Number 5 Please 1 14 Odes Integrating Factors Test For Exactness If Exact Solve If Not Use Homeworklib

Show That Z Ln X 2 Y 2 2 Tan 1 Y X Satisfies The Laplaces S Equation Mathematics Stack Exchange

Ex 9 5 15 Class 12 Find Solution 2xy Y 2 2x 2 Dy Dx 0 When

Answered Show That Each Function Satisfies A Bartleby
1

Euler Theorem Problems 4 Euler Theorem For Homogeneous Function Euler Theorem Engineering Maths Youtube

Ex 5 7 17 If Y Tan 1 X 2 Show X2 1 Y2 2x X2 1

Problems On Partial Differentiation U Log X 2 Y 2 Z 2 U Tan 1 2xy X 2 Y 2 Z F X Ay Q X Ay Youtube

Best Answer If Log X2 Y2 2tan 1 Y X Then Show That Dy Dx X Y X Y Brainly In
Math Chalmers Se
Math Chalmers Se
Solved A X Y 1 If X R Cos 0 Y R Sin E Find A R 0 Chegg Com
Nitkkr Ac In
If U Tan 1 X 2 Y 2 X Y Prove That X U X Y U Y 1 2 Sin 2u Sarthaks Econnect Largest Online Education Community
If U Sin 1 X Y X Y Prove That X U X Y U Y 1 2 Tan U Sarthaks Econnect Largest Online Education Community

Linear Algebra Sheet 5 Summer 19 Warning Popup Annotation Has A Missing Or Invalid Parent Studocu

How Do You Graph Y Tan 1 2 X Socratic

Partial Differential Equation Notes
If U Tan 1 X 3 Y 3 X Y Prove That X U X Y U Y Sin 2u Sarthaks Econnect Largest Online Education Community

Q 4 If U Sin 1 X 2 Y 2 X Y Then Show That X Del U

If U Log X 2 Y 2 Z 2 Then Prove That X 2 Y 2 Z 2 D 2u Dx 2 D 2u Dy 2 D 2u Dz 2 1
Math Chalmers Se

K Frahairxgugm

Ex 5 7 17 If Y Tan 1 X 2 Show X2 1 Y2 2x X2 1

If Cos 1 X2 Y2 X2 Y2 Tan 1 A Prove That Dy Dx Y X Mathematics Topperlearning Com K6vhyqq

Problems On Partial Differentiation U Log X 2 Y 2 Z 2 U Tan 1 2xy X 2 Y 2 Z F X Ay Q X Ay Youtube
How To Determine If The Function 2xy I X 2 Y 2 Is Analytic Quora

If Tan A 2xy X 2 Y 2 Then Find The Value Of Sina Cosa Brainly In

How Do You Find The Equations Of The Tangent Lines To The Curve Y X 1 X 1 That Are Parallel To The Line X 2y 2 Socratic
If Y Tan 1x 2 Show That X 2 1 2y2 2x X 2 1 2

Show That Z Ln X 2 Y 2 2 Tan 1 Y X Satisfies The Laplaces S Equation Mathematics Stack Exchange

Eulers Partial Derivative Solve U Tan 1 X 3 Y 3 X Y Youtube
Euler S Theorem On Homogeneous Function

Jacobian Properties Find ꝺ U V ꝺ R 8 When U X 2 Y 2 V 2xy X Rcos8 Y Rsin8 Youtube

Bs Grewal Solutions

If Y Tan 1 X 2 Prove That 1 X2 2y2 2x 1 X2 Y1 2 Explain In Great Detail Mathematics Topperlearning Com Z68xug
Www2 Math Uu Se

Ex 5 7 17 If Y Tan 1 X 2 Show X2 1 Y2 2x X2 1

Misc 7 Show That General Solution Is X Y 1 A 1 X Y 2xy
If U Tan 1 X 2 Y 2 X Y Prove That X U X Y U Y 1 2 Sin 2u Sarthaks Econnect Largest Online Education Community

Ex 9 2 9 Verify X Y Tan 1 Y Y2y Y2 1 0 Ex 9 2

Solve 1 Y2 Dx Tan 1y X Dy Brainly In

0以上 Dy Dx X 2 Y 2 1 2xy If Dy Dx X 2 Y 2 1 2xy Nyosspixyndg

Bs Grewal Solutions
Math Chalmers Se

Partial Derivative If U X 2 Tan 1 Y X Y 2 Tan 1 X Y Prove ә 2u әxәy X 2 Y 2 X 2 Y 2 Youtube

If Tan 1x Tan 1y Tan 1z Pi 2 Then Prove That Xy Yz Zx 1
Math Chalmers Se
Math Ualberta Ca

0以上 Dy Dx X 2 Y 2 1 2xy If Dy Dx X 2 Y 2 1 2xy Nyosspixyndg

Ex 5 7 17 If Y Tan 1 X 2 Show X2 1 Y2 2x X2 1
How To Differentiate Y Tan 1 2x 1 X 2 For The Inverse Trigonometric Function Quora

Implicit And Logarithmic Differentiation

If U Tan 1 X 2 Y 2 X Y Then Prove That X Brainly In

Algebraiska Rakningar Pdf Free Download

Bs Grewal Solutions
Www3 Nd Edu

Implicit Differentiation Advanced Example Video Khan Academy

If U Tan 1 X 3 Y 3 X Y Prove That Qquad X 2 Del 2 U Del X 2 2xy Del 2 U Del X Del Y Y 2 Del 2 U Del Y 2 2cos3u Sin U Doubtnut

Q 2 If U 1 2xy Y 2 1 2 Prove That Del Del X 1 X 2
If U Log X 2 Y 2 Xy Then X U X Y U Y Is A 0 B U C 2u Sarthaks Econnect Largest Online Education Community

If U Sin 1 X 2 Y 2 X Y Then Show That X Du Dx Y Du Dy Tan U Mathematics 1 Question Answer Collection

If X2 Y2 2 Xy Find Dy Dx Mention Each And Every Step Mathematics Topperlearning Com Gwvwfskk

Show That Tan 1 2ab A 2 B 2 Tan 1 2xy X 2 Y 2 Tan 1 2alphabeta Alpha 2 Beta 2 Where Alpha Ax By And Beta Ay Bx
If U Tan 1 Y X Then Find D 2u Dx 2 D 2u Dy 2 Sarthaks Econnect Largest Online Education Community