X2+y225 Second Derivative At X0
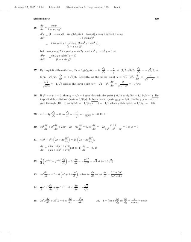
SOLUTION 1 Begin with x 3 y 3 = 4 Differentiate both sides of the equation, getting D ( x 3 y 3) = D ( 4 ) , D ( x 3) D ( y 3) = D ( 4 ) , (Remember to use the chain rule on D ( y 3) ) 3x 2 3y 2 y' = 0 , so that (Now solve for y' ) 3y 2 y' = 3x 2, and Click HERE to return to the list of problems SOLUTION 2 Begin with (xy) 2 = x y 1 Differentiate both sides.
X2+y225 second derivative at x0. F ( x) = e − 2 x − x (a) Use calculus to determine the correct value of the derivative at x = 2 (b) To evaluate the centered finitedifference approximations, start with x = 05 Thus, for the first evaluation, the x values for the centered difference approximation will be. Free secondorder derivative calculator second order differentiation solver stepbystep This website uses cookies to ensure you get the best experience. 1 For Windows or Linux Press CtrlD 2 For MacOS Press CmdD 3 For iPhone (Safari) Touch and hold, then tap Add Bookmark 4 For Google Chrome Press 3 dots on top right, then press the star sign.
Derivative of arctanx at x=0. Play With It Here you can see the derivative f'(x) and the second derivative f''(x) of some common functions Notice how the slope of each function is the yvalue of the derivative plotted below it For example, move to where the sin(x) function slope flattens out (slope=0), then see that the derivative graph is at zero. 4y 2 Take the derivative with respect to y,;.
Answer (1 of 2) If x^2y^2=25, what is the value of \frac{d^2y}{dx^2} at the point (4,3)?. Answer (1 of 5) What’s the derivative of x^2y^2=a^2?. We want to find the derivative of y = f ( x ) passing through the Find the first and second derivatives of the function tabulated 25 0 5 1 625 3 5 0 1.
We can continue picking points closer and closer to (2, 4) on the graph of f , and then calculating the slopes of the lines through each of these points ( x, y) and the point (2, 4) points to the left of (2, 4) points to the right of (2, 4) x y = x2 slope x y = x2 slope 15 225 35 3 9 5 19 361 39 25 625 45 199 399 1 401 The only thing special about the xvalues we. Ly = f, U1y = η1, U2y = η2, (523) for given constants η 1 and η 2 , and a given continuous function fon the interval a,b Definition 56 The associated. The second derivative is what you get when you differentiate the derivative Remember that the derivative of y with respect to x is written dy/dx The second derivative is written d 2 y/dx 2, pronounced "dee two y by d x squared" Stationary Points The second derivative can be used as an easier way of determining the nature of stationary.
The procedure to use the second derivative calculator is as follows Step 1 Enter the function in the respective input field Step 2 Now click the button “Submit” to get the derivative Step 3 Finally, the second order derivative of a function will be displayed in the output field. Dx 1 dx Problem #02 Compute the first and second derivatives for the following table of data at x = 11 X 10 12 14 16 18 Y 0000 0128 0544 1296 2432 4000 dy d2y Ans x = x 0 = 064 ;. Answer (1 of 5) Yes it is differentiable at x=0 To check that first you have to define the function for x>0 and x0 the function is =x^3 For x.
Combining the answers (because of the Sum Rule) we get 2x 8yy′ Step 2 Take the derivative of the right hand side The derivative of a constant is 0 Step 3 Place your answers from the left hand side (Step 1) and right hand side (Step 2) back together. Check Pages 351 381 of Thomas Calculus 11e in the flip PDF version Thomas Calculus 11e was published by rizkylens on Find more similar flip PDFs like Thomas Calculus 11e Download Thomas Calculus 11e PDF for free. X 2 (using the power rule) = 2x;.
X−y2 − x 6y, D= {(x,y) ∈ R2;0 6x69,0 6y65};. 1) is a critical point The second derivative test f xx = 2;f yy = 2;f xy = 0 shows this a local minimum with. (b) f(x,y) = 2x2 xy2 −2, D= {(x,y) ∈ R2;x2 y2 64} Solution (a) Calculating the partial derivatives gives f x = y 2 √ x − 1, f y = √ x−2y 6 Finding critical points f x = 0, f y = 0 =⇒ (x,y) = (4,4) Note that (4,4) ∈ Dand that f(4,4) = 12 The boundary of Dconsists of.
This question, as asked, doesn’t really make sense An equation doesn’t have a derivative, functions have derivatives If we claim that y is a function of x, and that y = f(x) satisfies the equation, then we can use the equation to. Subject to the constraint 2x2 (y 1)2 18 Solution We check for the critical points in the interior f x = 2x;f y = 2(y1) =)(0;. Example using implicit differentiation to get the second derivative of y wrt x Uses substitution to get final expressionThis video screencast was created.
Answer (1 of 4) First derivative is 2^x ln2 and derivative of 2^x ln2 is ln2 2^x ln2 That is (ln2)^2 * 2^x. 2 x = x 0 = 66 dx dx Solution the difference table is as below X y y 2y 3y 4y 5 y 10 0000 0128 12 0128 02 0416 0048 14 0544 0336 0 0752 0048 0 16 1296 0384 0 1136 0048 18 2. Find dy/dx x^2y^2=25 Differentiate both sides of the equation Differentiate the left side of the equation Tap for more steps Differentiate Since is constant with respect to , the derivative of with respect to is Reform the equation by setting the left side equal to the right side Solve for Tap for more steps.
Solutions to Graphing Using the First and Second Derivatives SOLUTION 1 The domain of f is all x values Now determine a sign chart for the first derivative, f ' f ' ( x) = 3 x2 6 x = 3 x ( x 2) = 0 for x =0 and x =2 See the adjoining sign chart for the first derivative, f ' Now determine a sign chart for the second derivative. 0 y(x 0) = y 0 dy dx = ƒ(x, y) 0ƒ>0y (x 0, y 0) ƒ(x, y) The differential equation in Example 3 fails to satisfy the conditions of Picard’s Theorem Although the function from Example 3 is continuous in the entirexyplane, the partial derivative fails to be continuous at. It is best to apply implicit differentiation Differentiating y with respect to x yields.
Second Order Linear Differential Equations 121 (123) y x y 0 cosx y 0 sinx Example 122 Solve y y 0 with given initial values y 0 y 0 Ae x Be 5x with derivative y Ae x 5Be 5x Evaluating at x 0, we have 4 A B 1 A 5B Solving this pair of equations, we get A 19 4 and B. 4−x 2−y where x2 y2 ≤ 8 Alternate Solution Using spherical coordinates, x = 4sinφcosθ, y = 4sinφcosθ, z = 4cosφ where 0 ≤ φ ≤ π 4 and 0 ≤ θ ≤ 2π 9 Find the area of the part of the surface z = y2 − x2 that lies between the cylinders x 2y = 1 and x2 y2 = 4 Solution. One way is to first write y explicitly as a function of x Thus, x 2 y 2 = 25 , y 2 = 25 x.
1(x,y) = x2 − y2 is a solution to the following boundaryvalue problem (∂2u ∂x2 ∂2u ∂y2 = 0, for (x,y) ∈ D u(x,y) = 2x2 −1, for x2y2 = 1 while f 2(x,y) = x is a solution to the boundary value problem (∂ 2u ∂x2 ∂ u ∂y2 = 0, for (x,y) ∈ D u(x,y) = x, for x2 y2 = 1 Solve the following boundaryvalue problem (∂2u ∂. If x^2 y^2 = 25, what is the value of d^2y/dx^2 at point (4,3)?. The Derivative Calculator supports computing first, second, , fifth derivatives as well as differentiating functions with many variables (partial derivatives), implicit differentiation and calculating roots/zeros You can also check your answers!.
For all functions where x is not equal to zero, y = 0 and function exp (1 / x^2) for all x is not zero, y=0 at x = 0 Do Taylor series converge uniformly?. Answer f00(x) = x3 60x2 = x2(x 3) The second derivative is 0 at x= 0 and x= 3 A sign chart shows the the second derivative does not change signs at x= 0 but it does change signs at x= 3 So x= 3 is the only in ection point 8Solve the di erential equation dq dz = 2 sin(z) with initial condition q(ˇ) = 2ˇ Answer q(z) = 2z cosz 1 3. Derivatives » Tips for entering queries Enter your queries using plain English To avoid ambiguous queries, make sure to use parentheses where necessary Here are some examples illustrating how to ask for a derivative derivative of arcsin;.
y ′ = − x y Then to find the 2nd derivative you apply the quotient rule, which looks like this y ″ = y ( − 1) − ( − x) y ′ y 2 which gives you − y x y ′ y 2 But after looking in the back of the book I realized my answer was wrong calculus implicitdifferentiation Share. 1− x Legendre function of the second kind 2 Legendre’s Associated Differential Equation Legendre’s associated differential equation is given as (1− x2) d2y dx2 −. 2 If z = f(x,y) = (x2 y3)10 ln(x), then the partial derivatives are ∂z ∂x = x(x2 y3)9 1 x (Note We used the chain rule on the first term) ∂z ∂y = 30y 2(x y3)9 (Note Chain rule again, and second term has no y) 3 If z = f(x,y) = xexy, then the partial derivatives are ∂z ∂x = exy xyexy (Note Product rule (and chain rule.
X→2 √ x 33 154 Example – Find lim x→2 √ x 34 155 Example – The derivative of √ x at x = 2 34 156 Limit as x → ∞ of rational functions 34 157 Another example with a rational function 35 16 When limits fail to exist 35 161 The sign function near x = 0 35 162 The example of the backward sine 36 163 Trying to. Specify the secondorder derivative of y by using diff(y,t,2) and the Equations with Conditions Open Live Script Solve the firstorder differential equation dy dt = ay with the initial condition y (0) = 5 Specify the initial condition as the second input to by using syms and solve the equation d 2 y(x)/dx 2 = x*y(x ) using dsolve. Click here👆to get an answer to your question ️ If x = t^2,y = t^3 then d^2y/dx^2 = Solve Study Textbooks Join / Login >> Class 12 >> Maths >> Continuity and Differentiability >> Second Order Derivatives >> If x = t^2,y = t^3 then d^2y/dx^2 = 0 0 Similar questions If.
Second derivative of sin^2;. X^2y^2=25 2x 2y\frac{dy}{dx}=0 \displaystyle\frac{dy}{dx} = \frac{x}{y. Chapter 0807 Finite Difference Method for Ordinary Differential Equations After reading this chapter, you should be able to 1 Understand what the finite difference method is and how to use it to solve problems.
1) Find the second derivative of x^2 y ^ 2 = 25 I can only find the first derivative i can't find the second 2) Find the second derivative of y = x^2 y^3 xy I actually have no clue how to find the second derviative This sort of question is going to be on a test, but my teacher didn't cover it So please explain it step by step. F ( 2)) F ( 2) = ( 2) 3. X 2 y 2 = 25 , which represents a circle of radius five centered at the origin Suppose that we wish to find the slope of the line tangent to the graph of this equation at the point (3, 4) How could we find the derivative of y in this instance ?.
The Taylor expansion of the function f converges uniformly to the zero function T^f (x) = 0, which. And the second derivative as a function of x and y is Click HERE to return to the list of problems SOLUTION 14 Begin with x 2/3 y 2/3 = 8 Differentiate both sides of the equation, getting y 2x = 0 , so that y = 2x Substituting this into the original equation x 2 xy y 2 = 3 leads to x 2 x (2x) (2x) 2 = 3 , x 2 2x 2 4x. Interactive graphs/plots help visualize and better understand the functions.
Textbook Exercise 65 Determine the equation of the tangent to the curve defined by F ( x) = x 3 2 x 2 − 7 x 1 at x = 2 Gradient of tangent = F ′ ( x) F ′ ( x) = 3 x 2 4 x − 7 F ′ ( 2) = 3 ( 2) 2 ( 4) ( 2) − 7 = 13 ∴ Tangent y = 13 x c where c is the y intercept Tangent meets F ( x) at ( 2;. Example 38 1 Using Implicit Differentiation Assuming that y is defined implicitly by the equation x 2 y 2 = 25, find d y d x Solution Follow the steps in the problemsolving strategy d d x ( x 2 y 2) = d d x ( 25) Step 1 Differentiate both sides of the equation d d x ( x 2) d d x ( y 2) = 0 Step 11. Di erentiating both sides with respect to x, y2 x 2y dy dx = 0 so dy dx = y2 2xy At the point (1 4;2), dy dx = 4, so we can use the point/slope formula to obtain the tangent line y= 4(x 1=4) 2 2Consider the circle de ned by x 2 y = 25 (a)Find the equations of the tangent lines to the circle where x= 4 (b)Find the equations of the normal.
2
Solved Set Up The Double Integral To Find The Volume Below The Surface Z 25x 2y 2 And Above The Plane Z 16 Sketch Of The Two Dimensional Region R Course Hero

Implicit Differentiation Advanced Example Video Khan Academy
X2+y225 Second Derivative At X0 のギャラリー

3 Differentiation

Lagrange Multipliers

Document

Se 301 Numerical Methods Topic 8 Ordinary Differential
Solved A Scalar Function Is Given By F X Y Z Z X 2 Chegg Com
1

Q4 If X 3 Y 3 3axy Find Dy Dx Implicit Function Differentiation If X3 Y3 3axy Dy Dx Youtube
Cocalc Implicit Differentiation Notes Sagews

Booksubjectcalculu High Resolution Stock Photography And Images Alamy

Unit 2 Lesson 9 Implicit Differentiation 1 2 So Far We Have Been Differentiating Expressions Of The Form Y F X Where Y Is Written Explicitly In Ppt Download
Solved Set Up The Double Integral To Find The Volume Below The Surface Z 25x 2y 2 And Above The Plane Z 16 Sketch Of The Two Dimensional Region R Course Hero
Solved Find The First And Second Derivatives Of The Chegg Com
3 8 Implicit Differentiation Calculus Volume 1
Implicit Differentiation

Example 17 Find Points On X2 4 Y2 25 1 At Which Tangents

3 8 Implicit Differentiation Mathematics Libretexts

Unit 2 Lesson 9 Implicit Differentiation 1 2 So Far We Have Been Differentiating Expressions Of The Form Y F X Where Y Is Written Explicitly In Ppt Download
If X 2 Y 2 25 Then Find Dy Dx

2 Differentiation 2 1 2 2 2 3

Implicit Differentiation
3 8 Implicit Differentiation Calculus Volume 1

1 Implicit Differentiation 2 Introduction Consider An Equation Involving Both X And Y This Equation Implicitly Defines A Function In X It Could Be Defined Ppt Download

Chapter 04

Solved Y V1 X2 1 31 2 X Y 2 25 X Y 3 1 Chegg Com

Solution Find The Second Derivative Of X 3 5x 2 X 0

Solved Find The Derivative Of The Functions In Problems 1 27 1 F R C 1 99 3 W T2 1 100 5 W 5r 6 3 7 Y 12 3x2 2e3r
Pdf Leibniz Formula Taimoor Khan Academia Edu
What Is The Slope Of The Tangent Line To The Circle X Y 25 At The Point 3 4 Quora

Chapter 5 Applications Of The Derivative Chapter 4

The Functions That We Have Met So Far Can Be Described By Expressing One Variable Explicitly In Terms Of Another Variable For Example Or Y X Sin Ppt Download

3 Derivatives Derivatives The Functions That We Have

How Do You Use Implicit Differentiation To Find An Equation Of The Tangent Line To The Curve X 2 2xy Y 2 X 39 At The Given Point 5 9 Socratic

3 8 Implicit Differentiation Mathematics Libretexts

Unit 2 Lesson 9 Implicit Differentiation 1 2 So Far We Have Been Differentiating Expressions Of The Form Y F X Where Y Is Written Explicitly In Ppt Download
Solved Second Derivative P X F X 2 16fx 1 30x Chegg Com

Chapter 3 Differentiation 1 3 1 The Derivative
For Curve X 2 4 Y 2 25 1 Find Those Points Where Tangent Is Sarthaks Econnect Largest Online Education Community

Oneclass 1 Use Implicit Differentiation To Find Dy Dx If Xy Sin X Sin Y 2 Suppose 6x2 3xy

Solved Question 2 25 Marks Du Find Three Different Solutions Of The Partial Differential Equation Ot 8x2 6 Marks B The Vertical Displacement Of A Vibrating String Of Length L Is Described By

Solved Exercises 4 4 Derivatives Of The Functions Defined As Follows Find E 2 Y 02 J 8eh 4 J 12est 6221 1 4e Jt J 0 J

Question 2 25 Marks A Find A Factor For The Polyno Itprospt

Solved Question 2 Functions And Calculus This Question Concerns The Cubic Function F X Gx 9 25 2 25 X 8 A X 1 Is A Factor Of F

Worked Example Evaluating Derivative With Implicit Differentiation Video Khan Academy

2 25 Pts Numerical Differentiation Numerical Implementation A Compute The Forward Central And Backward Numerical First Homeworklib

However Some Functions Are Defined Implicitly Some Examples Of Implicit Functions Are X 2 Y 2 25 X 3 Y 3 6xy Ppt Download

Implicit Differentiation

Equation Of Tangent To 2 X 2 Y 2 2 25 X 2 Y 2 Implicit Differentiation Youtube

Ex 6 3 13 Find Points On X2 9 Y2 16 1 At Which Tangents
Can You Find The Point In The First Quadrant On The Lemniscate 2 X 2 Y 2 2 25 X 2 Y 2 Where The Tangent Is Horizon X And The Value Of Y Is Unknown Quora
Solved 8 A Light Is At The Top Of A Pole 25 M High And A Hall Is Dropped From The Same Height At A Point 10 M From The Light How

Answered Given X2 Y2 25 Find D2y Dx2 Bartleby

Example 17 Find Points On X2 4 Y2 25 1 At Which Tangents

Implicit Differentiation

Misc 15 If X A 2 Y B 2 C2 Prove 1 Dy Dx 2 3 2

The Functions That We Have Met So Far Can Be Described By Expressing One Variable Explicitly In Terms Of Another Variable For Example Or Y X Sin Ppt Download

Equation Of Tangent To 2 X 2 Y 2 2 25 X 2 Y 2 Implicit Differentiation Youtube
What Will Be The Points Of The Curve X 2 Y 2 25 If Its Slope Is Parallel To The Y Axis Quora

Implicit Differentiation

Objectives 1 Be Able To Determine If An Equation Is In Explicit Form Or Implicit Form 2 Be Able To Find The Slope Of Graph Using Implicit Differentiation Ppt Download

4 2 Implicit Differentiation

Derivative Of Y E X 2 Youtube

Calculus Find Second Derivative Of X 2 Y 2 1 Youtube

How Do You Use The First And Second Derivatives To Sketch Y X 2 25 X 2 Socratic

Equation Of Tangent Line To Circle X 2 Y 2 100 At Point 6 8 Youtube

How Do You Find Equation Of Tangent To Circle X 2 Y 2 25 At The Point 3 4 Socratic

Warm Up 10 3 13 1 The Graph Of The Derivative Of F F Is Given Which Of The Following Statements Is True About F A F Is Decreasing For 1 X Ppt Download

Answered Given X2 Y2 25 Find D2y Dx2 Bartleby
How To Find Tangents To Circle X 2 Y 2 10 At The Points Whose Abscissae Are 1 Quora

Solved 2 25 Pts Ordinary Differential Equations Solve The Following Initial Value Problems Ivp Using The Modified Euler Method With A The Average Derivative And B The Derivative At Midpoint Dy 4y

Math 112 Calculus I Final Exam Solutions 1 25 Points The Figure

4 2 Implicit Differentiation

Solved 10 5 Lesson 10 Problem Set Dy 1 Use Implicit Chegg Com

Implicit Differentiation Mastery For Chain Rule U Substitution And Implicit Differentiation Quiz And The Chapter 3 Test Abby S Calc Blog
What Is The Slope Of The Tangent Line To The Circle X Y 25 At The Point 3 4 Quora

2 25 Points Let F X Y Mx2 Xiy Xy2 Where M Consta Itprospt
1

Implicit Differentiation Ppt Download

Business Calculus

Solution Find The Second Derivative Of Y By Implicit Differentiation
2

Intuition Behind Implicit Differentiation Of X 2 Y 2 25 Youtube

Solved Question 2 25 Pts Consider The Power Series Y 0 Chegg Com

Example 17 Find Points On X2 4 Y2 25 1 At Which Tangents

How Do You Find The Implicit Differentiation Of X 4 5xy 3 Y 6 21 Socratic

Find The Point On Curve 4x2 9y2 1 Where The Tangents Are Perpendicular To The Line 2y X 0 From Mathematics Application Of Derivatives Class 12 Uttarakhand Board

Solved Y V1 X2 1 31 2 X Y 2 25 X Y 3 1 Chegg Com

Implicit Differentiation
What Is The Tangent Through 7 1 For Circle X 2 Y 2 25 Quora
Solved Find The First And Second Derivatives Of The Chegg Com
3 2 The Derivative As A Function Calculus Volume 1
3 8 Implicit Differentiation Calculus Volume 1

The Derivative Function

Exam 2 With Questions Calculus Iii Math 2401 Docsity

If A X Y X 2 Y 2 25 And B X Y X 2 9y 2 144 Then A B Contains

Ex 6 3 13 Find Points On X2 9 Y2 16 1 At Which Tangents

Implicit Differentiation Ppt Download

Ex 6 5 7 Find Both Max Min Value Of 3x4 8x3 12x2

Find The Derivative Of X 2 Y 2 25 Using Implicit Differentiation Youtube
2

Motion Along A Curve Finding Rate Of Change Video Khan Academy



