3 乗 因数 分解 公式
中学数学 因数分解 公式3 "2乗の差"因数分解はこれから先ずっと使ってゆきます。映像授業を駆使し塾に通えない生徒の皆さんにも授業配信.
3 乗 因数 分解 公式. 使用目的 ELISAのスタンダード曲線の3次式から標本の値を算出するのに利用しました。 自分でもプログラムを組みましたが,こちらの計算と答えが同じだったので,結果に自信が持てました。 実数解がグラフィカルに表示される点もよかったです。 4. →3乗の因数分解公式5つと例題 ~めったに使わない、四乗の公式~ $x^44x^3y6x^2y^24xy^3y^4$$=(xy)^4$ $x^44x^3y6x^2y^24xy^3y^4$$=(xy)^4$ $x^4y^4$→これ以上因数分解できない $x^4y^4=(xy)(x^3x^2yxy^2y^3)$ ~高校数学で習う難しめの公式~ $a^2b^2c^22ab2bc2ca$$=(abc)^2$ $a^3b^3c^33abc$. 因数分解のやり方をおしえてください。 (xy)2乗+5(xy)= a3乗(x2y)ax2乗(x2y)= 2(x2y)2乗4x(x2y)= 二乗が読みにくくてごめんなさい。 何の公式を用いて説いたらいいのかさえわかりません。 詳しく解き方を教えてください。 よろしくお願いします。.
3乗の因数分解公式は前のカッコと後ろのカッコの符号の変化に注意するんでしたね。 3乗のプラスの因数分解公式を使おう まずは前にあるa 3 を、aとa 2 にわけます。. 高校数学で学習する、a 3 b 3 c 3 -3abcの因数分解の公式とその導き方、問題についてまとめました。 この因数分解の公式は3次式の基本の因数分解の公式から導くことができますが、やや難しいです。公式自体も覚えておくとテストで有利でしょう。. これを利用して、三次式の因数分解の公式をもう一度見てみましょう。 3乗の式を展開すると、次のようになります。\ (ab)^3=a^33a^2b3ab^2b^3 \この式を変形して、「3乗足す3乗」の公式を導いてみましょう。上の右辺の $3a^2b3ab^2$ の部分が邪魔ですね。.
こうして、3乗の展開・因数分解の公式は、立方体の分割で考えることができることがわかりました。 3乗引く3乗の公式 続いて、3乗引く3乗の公式について考えてみましょう。 x3 − y3 = (x− y)(x2 xy y2) x 3 − y 3 = ( x − y) ( x 2 x y y 2) 左辺を見ると、一辺が x の立方体、一辺が y の立方体の体積を考えればよさそうです。 上と似たような図ですが、次のような図形を考えてみ. 4つの公式は、これからいろんなところでふとした時に出てくるので、いつでも使えるようにしておきましょう。 応用3つの3乗の和に関する因数分解(a^3b^3c^33abc) 応用三次式の因数分解 このサイトについて. 因数分解2乗の公式 特に重要なのが、④の公式です。 ④の公式に \(a=y,b=y\) を代入すると①の公式になり、\(a=y,b=y\) を代入すると②の公式になり、\(a=y,b=y\) を代入すると③の公式.
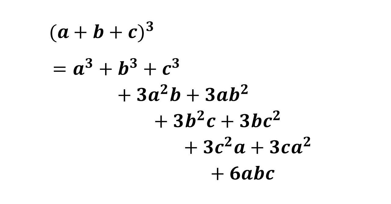
「3乗足す3乗」の形になっていますね。 三次式の因数分解の式が使うと、 a b c a b c が出てきます。 また、2つ目と4つ目に注目すると、 3ab 3 a b でくくれば、こちらからも a b c a b c が出てきます。 なので、まとめられそうですね。 まとめると、次のように変形できます。. ⇒くわしくは「因数分解の公式をつかわない二次方程式の解き方」をよんでね。 実際にといてみると、 3x² = 7x 3x² – 7x = 0 x(3x – 7) = 0 x = 0, 3分の7 になるね。 解き方3 「因数分解の公式つかえる??」 平方根でも解けないし、共通因数でもくくれない. 最低次の文字の次数が3次以上の時は(i) の公式を適用するか、(ii)の共通因数でくくりだすパターンが多いです。 (iv) 上記の方法でできないときは必ず( ) 2 ( ) になってくれているので、 a2 b2 = (a b)(a b)の公式を使って因数分解をする。 因数分解の解法は上記の.
8a 3 -27b 3 はa,bの両方に係数がついていますね。 計算が少し複雑になりますが、手順を踏んでいけば大丈夫です。 今回使うのは3乗のマイナスの因数分解公式です。. 3乗の因数分解と展開公式 和や差の整式を、積の形に変形することを因数分解といいます。 3乗の式の因数分解を下記に示します。 因数分解の詳細は、下記が参考になります。 因数分解とは? 1分でわかる意味、公式の一覧、問題、たすきがけのやり方 展開公式は、因数分解の逆の計算です。 因数分解の左辺と右辺をひっくり返せば、展開公式です。 下記に示しました。 展開公式の詳細は、下記も参. A 3 -b 3 =(a-b)(a 2 +ab +b 2 ) プラスとマイナスの因数分解の大きな違いはこの符号が逆になるということです。 後の計算はプラスのときと同じです。 3乗の因数分解公式はごちゃごちゃになってしまう公式ですが、ここでしっかりポイントを覚えておきましょう。.
初めに3乗の公式使うこともできます。 展開して解くこともできます。 展開のほうの流れとしては (1)展開 (2)3で因数分解 (3)abの因数を出す (4)bcの因数を出す (5)終わり がんばって. それでは実際に、それぞれの公式を使った因数分解の例題を見て確認していきましょう! 因数分解公式の使い方 x 2 4x3. 公式②:3乗をふくんだ式の因数分解 - a 3 b 3 = ( a b) ( a 2 - a b b 2) - - + a 3 - b 3 = ( a - b) ( a 2 + a b b 2) ハムちゃん あ、この公式みたことあります! 数学おじさん この式は、3乗をふくむ、 2つの文字の式 の因数分解で、よく使われる式じゃな.
(ab)3乗の展開公式は?問題を使って解説! 式の展開の工夫、置き換えや組み合わせを利用するやり方を解説! たすき掛けの因数分解!コツを学んでやり方をマスターしよう! 4乗!?複二次式の因数分解の解き方!途中式をていねいに解説するぞ!. 基本三次式の因数分解 標準三次式の因数分解 標準三次式の因数分解と体積 応用3つの3乗の和に関する因数分解(a^3b^3c^33abc) 応用三次式の因数分解. 1 数学 質問解答3乗をふくんだ式の因数分解 パート2高校数学 数a 因数分解(質問ありがとうございました! 11 2項の式の3乗の展開公式.
3乗の多項式の因数分解 ここでは一風変った数式の因数分解の公式を紹介しましょう! 数学Ⅰで学ぶ因数分解は、 a²+2ab+b²=(a+b)² のように、そのほとんどが2乗までの計算です。しかし、応用編で3乗の計算がでてくるときがあ. 2乗・3乗の公式 因数分解は、 「式の展開」の反対 に相当する変形です。 カッコの中を1つずつかけ算していけば求まる「展開」と異なり、因数分解は 公式を知らないと解き方の検討がつかない ケースもあります。. 3次式の展開と因数分解では,次の4つの公式が基本的です. は身に付ける必要があります. ( x a) 3 は因数分解された式で, x 3 a 3 は展開された式ですが,はじめのうちはこの両者を混同しやすいので注意してください. 具体的には, となります. 2次の場合と同じく,3次式に関するこれらの公式は必ず使えるようになっておく 3文字の3次式の因数分解 次の公式は基本的で.
3乗公式の因数分解、解説動画です。 About Press Copyright Contact us Creators Advertise Developers Terms Privacy Policy & Safety How YouTube works Test new features © 21 Google. 考え方は単純で、3乗の因数分解が無理なら2乗の因数分解へと変化させよう(次数を下げよう)と考えればよいのです。 その方法は、とにかく勘に従って1つ数字を入れてみるというものです。 例えば、上記の②の3乗多項式にx=1を代入してみます。 するとどうなるか。 左辺の値は=0となり、右辺と一致します。 という事は左辺の3乗の方程式は因数分解すると必ずx.

Ii の問題で X3乗 Y3乗が X Y 3乗 3xy X Y になるのは Clearnote

因数分解の公式の導出方法 3乗公式 4乗公式まで オンライン講師ブログ

高校数学 因数分解公式と3次式の因数分解 受験の月
3 乗 因数 分解 公式 のギャラリー

A B Cの2乗や3乗の展開公式 タロウ岩井の数学 Note

3乗の公式 数理研

数学 暗記不要 3乗公式の講義 高校生 数学のノート Clearnote

数と式 因数分解の公式 3乗の公式 その2 Vol 16 3回読めば 絶対理解できる看護受験数学 Kazアカデミー 大阪の看護学校 看護予備校

展開公式とは 1分でわかる意味 二乗 3乗の公式 覚え方 問題

3乗の因数分解 優技録

1の3乗根wに関する問題 数学の偏差値を上げて合格を目指す

因数分解のやり方がわからない人必見 公式や解き方のコツをわかりやすく紹介 高校生向け受験応援メディア 受験のミカタ

高校数学 3次式の展開 因数分解 公式 覚え方 計算方法 学校よりわかりやすいサイト

3文字の対称式の5乗和 怜悧玲瓏 高校数学を天空から俯瞰する

公式いろいろ 因数分解のいろいろな問題とその解き方 スタディクラブ情報局

高校数学 因数分解公式と3次式の因数分解 A B C 3abc 受験の月

高校数学 因数分解 4乗が登場する式の因数分解 置き換えをして見慣れた形に直して解こう 数学の面白いこと 役に立つことをまとめたサイト

3乗の因数分解の仕方を詳しく教えてください 3乗の因数分解の仕方を詳 数学 教えて Goo
三乗 3乗の展開 因数分解の公式 高校数学マスマスター 学校や塾では教えてくれない 元塾講師の思考回路の公開

中3 式の計算 因数分解 公式編 設計図の選び方と使い方 あとはパズル 教えたい 人のための 数学講座

高校数学 数 11 因数分解 3次式の公式編 Youtube

数学 質問解答 3乗をふくんだ式の因数分解 パート2 高校数学 数a 因数分解 質問ありがとうございました 行間 ぎょうのあいだ 先生

因数分解できるよね 3乗 東北イタコで学ぶ高校数学 Note

数学 B 1の3乗根に関する問題 長崎大 九州歯科大 広島工業大 大学入試数学の考え方と解法

高校数 数と式 因数分解 3乗 3乗 の因数分解 オンライン無料塾 ターンナップ Youtube

数学 2x 3 の5乗を展開せよ の解き方 覚える事は3つだけ てばなすブログ

数の中には 2つ以上の数のかけ算 に変形できるものがたくさんあります 例えば X 2 1 は 21 素因数分解 分数 教え

対称式5乗和の求め方 怜悧玲瓏 高校数学を天空から俯瞰する

中学数学 因数分解の2つの公式の覚え方 Qikeru 学びを楽しくわかりやすく

因数定理を利用した因数分解の練習問題 高校数学の知識庫

新高1 数学 a 4stepほか 上北沢 哲英会 個人塾 連絡用ブログ

数学 因数分解 3乗公式 数学

A B 3 公式 三乗の公式 展開 A B 3はどうやってやる 中 Qhcoh

平方完成 多項式の因数分解 優技録

高校数学 3乗の展開 因数分解公式の覚え方 その1 By 家ゼミ Youtube

乗法公式とは 1分でわかる意味 公式の覚え方 問題 因数分解との関係

三乗の因数分解公式 導出 Youtube

1 数と式vol 6因数分解 たすきがけ 3乗 毎日こつこつ数学 A

3次以上の展開と因数分解はどうなる 公式の総まとめ
因数分解のやり方 公式と解き方のコツ教えます 高校レベルまで対応 Studyplus スタディプラス
因数分解とは 公式と計算のやり方を覚えて問題を解いてみよう 中学 高校数学 テラコヤプラス By Ameba
1

数学 3次式の因数分解の公式の使い方とコツ ページ 2 教科書より詳しい高校数学

因数分解のやり方がわからない人必見 公式や解き方のコツをわかりやすく紹介 高校生向け受験応援メディア 受験のミカタ

Studydoctor3乗の因数分解 数 Studydoctor

因数分解とは 公式や計算のやり方 問題の解き方 受験辞典

1の三乗根オメガを用いた計算と因数分解 高校数学の美しい物語

3乗の因数分解 展開 公式 理系ラボ

展開と因数分解公式 大学受験の王道
因数分解のやり方 公式と解き方のコツ教えます 高校レベルまで対応 Studyplus スタディプラス

三乗の公式 A B 3乗の展開公式と覚え方を解説

三 乗 の 因数 分解 コツや意味も 因数分解の公式 やり方を東大生が超わかりやすく解説 Luismiguel Pt

A3乗と 8b3乗は因数分解すると どうなりますか Clearnote

式と証明 3次式の因数分解について 日々是鍛錬 ひびこれたんれん
タロウ岩井の数学と英語 基本対称式について6乗和の計算を敢えて因数分解をしないで計算しています Powered By Line
xの3乗 2xの2乗 4x 8を因数分解せよ という問題です Yahoo 知恵袋

数と式 整式の展開と乗法公式について 日々是鍛錬 ひびこれたんれん
3

1の3乗根 オメガ W をなるべくわかりやすく解説してみる 高校数学の知識庫

高校数学 A 3 B 3の因数分解公式 映像授業のtry It トライイット
タロウ岩井の数学と英語 3乗和の因数分解公式を導く方法 Powered By Line

基本対称式について6乗和の値を因数分解公式を使って求める タロウ岩井の数学 Note
3

この因数分解の問題なのですが 4乗が出てくる問題の因数分解のやり方 高校 教えて Goo

因数分解の問題の解き方とコツ 2乗 3乗公式とたすきがけ アタリマエ

高校数学 因数分解 3乗が登場する因数分解の解き方をわかりやすく解説 数学の面白いこと 役に立つことをまとめたサイト

数学ia 因数分解の難問も簡単に解ける計算のやり方 たすき掛けも解説 Himokuri

三乗の公式 展開と因数分解 高校生向け受験応援メディア 受験のミカタ

X3乗 1 を因数分解するにはどうすればいいですか Clearnote
高校数学 Net

高校数学 因数分解 割り算を使った因数分解のやり方を丁寧に説明 数学の面白いこと 役に立つことをまとめたサイト
勉強計画 Com

因数分解の問題なのですが この問題は3乗の公式を使って一つ一つ解かなければな Clearnote

3乗の因数分解 展開 公式 理系ラボ

展開公式1

3次式の因数分解 公式とやり方について問題を使って解説 数スタ

第4講 3次式の展開と因数分解 1章1節式の計算 問題集 高校数学
なぜ A三乗 B三乗 C三乗を分解するとこうなるのですか 教えてく Yahoo 知恵袋

3次方程式まとめ 解き方 因数分解 解と係数の関係 理系ラボ

因数分解 勉強動画ラボ 高校数学を中心とした無料の学習動画まとめ

公式の利用 清水塾

公式いろいろ 因数分解のいろいろな問題とその解き方 スタディクラブ情報局

3乗の対称式だけど基本対称式を考えずに因数分解するもの タロウ岩井の数学 Note

数 いろいろな式 3乗の因数分解 元に に符号逆 教えたい 人のための 数学講座

3次式 4次式の因数分解と高次方程式の解法 数学の偏差値を上げて合格を目指す

数学 質問解答 3乗をふくんだ式の因数分解 パート1 高校数学 数a 因数分解 質問ありがとうございました 行間 ぎょうのあいだ 先生

対称式の変形まとめ 基本公式を覚えてサクサク計算しよう 数スタ

標準 三次式の因数分解と体積 なかけんの数学ノート

中3数学 因数分解の解き方と対策問題 Examee

因数分解 たすきがけ や3乗の因数分解のやり方を解説 ますますmathが好きになる 魔法の数学ノート

例題 3乗の因数分解 Youtube
因数分解 たすきがけ

高校数学 数 第1章 数と式 12 文字が3種類ある3乗の公式 壱のblog
高2数学計算 A B C 三乗 A三乗 B三乗 C三乗を因数分解せ Yahoo 知恵袋
禍々しい式の因数分解 3乗と3乗と3乗と キソカラ

数学 B 3次式の因数分解 広島工業大 関西学院大 北海道医療大 東海大 大学入試数学の考え方と解法

第4講 3次式の展開と因数分解 1章1節式の計算 問題集 高校数学

因数分解の公式まとめ一覧とその活用例 アタリマエ

三乗の展開公式 A B 3乗の計算方法は 問題を使って解説 数スタ

高校数学 3次式の展開 因数分解 公式 覚え方 計算方法 学校よりわかりやすいサイト

二乗足す二乗の公式 なんでこんな変形になる どんな場面で活用する 数スタ

中学数学 式の展開 因数分解

演習1 11回目

高校数学 因数分解 分数が登場する式を因数分解する方法 わかりやすく解説します 数学の面白いこと 役に立つことをまとめたサイト

3乗とは 1分でわかる意味 求め方 展開 因数分解 展開公式との関係



