X+2y32 2x+y32 By Substitution Method
We can express this as a simultaneous equation xy = 4 x2y = 1 Next, we need to get rid of x or y I am going to get rid of x because there are 1 xs in both equations To get rid of it, I will subtract the bottom equation from the other xx y 2y = 4 1 3y = 3 y = 1.
X+2y32 2x+y32 by substitution method. Algebra Calculator is a calculator that gives stepbystep help on algebra problems See More Examples » x3=5 1/3 1/4 y=x^21 Disclaimer This calculator is not perfect Please use at your own risk, and please alert us if something isn't working Thank you. From the first equation, x = y 3 Substitute in to the second 2(y 3) 2y = 2 Multiply this out 2y 6 2y = 2 Collect terms 4y = − 4, so y = − 1 Return to the first equation x −( −1) = 3, so x = 2 Answer link. An interesting question as it appears we don't have to find the values of x, y and z, just the v.
X=32y, from given data x2y=3 Again substituting the value of x thus obtained 7 (32y)15y=2→2114y15y=2–>y=221=19x=32y=32 (19)=338=41 Ans x=41 & y= (19) 350 views · View upvotes · Answer requested by Fardin Khan. Example #2 Solve the following system using the substitution method 3x y = 104x − 2y = 2 Step 1 You have two equations Pick either the first or the second equation and solve for either x or y I have decided to choose the equation on top (3x y = 10) and I will solve for y. Use the Substitution method to solve the system of equations x y = 4 x y = 2 x y = 4 x y = 2 In the second equation, x= y2 Putting that in the first (y2) y= 4 subtract two from each side, then divide each side by.
Substitution) Share with the class that today they will learn a third method for solving systems of x 2y = 3 x y = 2 MULTIPLY BY 3 x 4y = 7 2x – 4y = 3 2x 5y = 6 x 2y = 3 MULTIPLY BY 2 (2, 3) 2x 2y = 2 y = 3x 6 (1, 2) 2y = 3x 3 Use the following systems of equations and solutions to create a Math Scavenger. (2) x 2y 3z = 0;. 4x = 8 1) 2x y = 3 2) x 2y = 1 If equation 1 is multiplied by 2 and then the equations are added, the result is 3x = 5 Solve the system by the elimination method Solutions by Substitution 16 terms.
Solve the given inequalities 2x – y ≤ –2, x – 2y ≥ 0, x ≥ 0, y ≥ 0graphically in two – dimensional plane asked Jul 22 in Linear Equations by KumarArun (. Question 621This question is from textbook beginning algebra THE INSTRUCTIONS SAYS SOLVE THE SYSTEM OF EQUATIONS USING SUBSTITUTION METHOD 1 X=y5 xy1 3 xy5 3x2y7 5 2xy5 4xy=2 7 x2y=9 x2y1 I AM VERY CONFUSED WORKING AND SOLVING THE SYSTEM OF EQUATIONS USING SUBSTITUTION METHOD. 2xy = 3 Subtract 2x from each side 2x2xy = 32xy = 2x3 Multiple to each side by negitive one y = 2x3 > (2) From (2) substitute the y value in (1) 5x2(2x3) = 8 5x4x6 = 8 x6 = 8 Subtract 6 from each side x66 = 86 x = 2 Substitute the x value in (1) 5(2)2y = 8 102y = 8 Subtract 10 from each side y = 8102y = 2 Divide to each.
Extended Keyboard Examples Upload Random Compute answers using Wolfram's breakthrough technology & knowledgebase, relied on by millions of students & professionals For math, science, nutrition, history, geography, engineering, mathematics, linguistics, sports, finance, music. To solve a pair of equations using substitution, first solve one of the equations for one of the variables Then substitute the result for that variable in the other equation 3xy=2,2xy=3 3 x − y = 2, 2 x − y = 3 Choose one of the equations and solve it. Solve each system by substitution 1) y = 2x 7 3x − 4y = −13 2) y = −8x − 24 6x 6y = 24 3) −4x 8y = −12 y = 5x 21 4) y = −4x − 11 3x 7y = −2 5) −4x − 2y = 8 −2x y = 6) −3x 5y = −4 −x y = 01.
Step 6 Substitute the value of y to solve for x Finally, we need to substitute the value of y into equation A to solve for x We know that equation A is 3x 2y = 4 and that y = 1/2 So, substitute the value of y 3x 2y = 4 3x (2 × 1/2) = 4 Then perform the operations to solve for x 3x (2 × 1/2) = 4. Solve by Substitution 3xy=2 , x2y=3, Subtract from both sides of the equation Replace all occurrences of in with Simplify Tap for more steps Simplify each term Tap for more steps Apply the distributive property Multiply by Multiply by. Click here👆to get an answer to your question ️ Solve the equation by substitution method 2x 3y = 9 , 3x 4y = 5 Solve Study Textbooks Join / Login >> Class 10 >> Maths >> Pair of Linear Equations in Two Variables Solve the equation by substitution method.
Answers fast please 1) y=x−63x2y=8 Use the substitution method A) (4, −2) B) (14, 8) C) (0, −6) D) (3, −3) 2) What is the xcoordinate of the. Solve by substitution method x 2y = 1 and 2x 3y = 12 ⇒ x 2y = – 1 (i) ⇒ 2x – 3y = 12 (ii) ⇒ x = – 1 – 2y (iii) Here, x = 3 and y = – 2 Hence,. Solution Solution provided by AtoZmathcom Substitution Method Solve Linear Equation in Two Variables Solve linear equation in two variables 1 12x 5y = 7 and 2x 3y 5 = 0 2 x y = 2 and 2x 3y = 4 3 7y 2x 11 = 0 and 3x y 5 = 0.
The following steps will be useful to solve system of linear equations using method of substitution Step 1 In the given two equations, solve one of the equations either for x or y Step 2 Substitute the result of step 1 into other equation and solve for the second variable Step 3. (3) x y mz = 0 How do I determine the unknown m for which the system has a unique solution?. Answer (1 of 5) Consider the system of linear equations (1) 2x y 3z = 0;.
Dec , Transcript Ex 34, 1 (Elimination) Solve the following pair of linear equations by the elimination method and the substitution method (i) x y = 5 and 2x – 3y = 4 x y = 5 2x – 3y = 4 Multiplying equation (1) by 2 2(x y) = 2 ×Jun 02, 2x 5y 1 =0 , 2x 3y 3 = 0 using the method of sibstitution A started a business and he invested in 1560, After4 months, B came to join with him. Take that value of x, and substitute it into the first equation given above (x y = 3) With that substitution the first equation becomes (1y) y = 3 That means 1 2y = 3 Subtract 1 from each side 2y = 2 So y = 1 Substitute that value of y into either of the two original equations, and you'll get x = 2. Well, we could substitute into either one of these equations up here If we substitute x equals 0 in this first equation, you get 9 times 0 plus 3y is equal to 15 Or that's just a 0, so you get 3y is equal to 15 Divide both sides by 3, you get y is equal to 15/3 or 5 y is equal to 5.
Solve by the substitution method { I 2y = 1 (i) 5x – 4y = 23 Sry = 2 (ii) 3x – 3y = 4 ſ 22 – 2x y = 8 X= Xy= 2 ) y 2x y = 2 23 y = 0 ) I y = 0 y2 = 25 y (vii) \ ry=2 2 1x² y = 5 (iv) { 224 = 14 (w) { (vi) { 1=10 Previous question Next question Get more help from Chegg. Divide both sides by 3 x=\frac{1}{3}\left(2y17\right) Multiply \frac{1}{3} times 2y17 x=\frac{2}{3}y\frac{17}{3} Substitute \frac{2y17}{3} for x in the other equation, 2xy=2 2\left(\frac{2}{3}y\frac{17}{3}\right)y=2 Multiply 2 times \frac{2y17}{3} \frac{4}{3}y\frac{34}{3}y=2. Question Solve the system using the substitution method x 2y = 6 3x 2y = 2 This is what I did 3x 2y = 2 x = 2y 3 _____ (2y 3) 2y = 6 = 2y 2y = 3 _____ y= 3 _____ x = 2y 3 x= 2 (3) 3 x = 9 I checked my solution and it was wrong I don't know where I messed up Answer by jerryguo41(197) (Show Source).
Substitution Method – Example Study the example below that shows how to use the substitution method in systems of equations Example Solve for x and y if 3x 2y = 4 and x 4y = 3 Answer x = 1 and y = 1/2 Step 1 Label the equations Label the equations A and B (A) 3x 2y = 4 (B) x 4y = 3 Step 2 Isolate one of the variablesY=2 Substituting y=2 in first equation 2x8*2= 2x=4 x=2 y=2. NCERT Solutions for Class 10 Maths Chapter 3 Exercise 34 Question 1 Summary On solving the pair of equations by the elimination method and the substitution method we get x, y as (i) x y = 5 and 2x 3y = 4 where, x = 19/5, y = 6/5 , (ii) 3x 4y = 10 and 2x 2y = 2 where, x = 2, y = 1 , (iii) 3x 5y 4 = 0 and 9x = 2y 7 where, x = 9/13, y = 5/13, (iv) x/2 2y/3 = 1 and x y/3. solve for substitution and elimination x2y=9 and 2x5y=33 show your work asked in ALGEBRA 2 by angel12 Scholar systemofequations;.
Put this into the second equation 3 × (2 − y) 2y = 5 6 − 3y 2y = 5 6 − 5 = y y = 1 Since x y = 2 x = 2 −y = 2 − 1 = 1 Your solution x = 1 and y = 1. The substitution method for solving twoorder systems involves solving one equation using the terms of the other equation Click card to see definition 👆 Tap card to see definition 👆 True Click again to see term 👆 Tap again to see term 👆 2x y = 7 y = x 1. Substitution method x2y=2x5, xy=3 en Related Symbolab blog posts High School Math Solutions – Systems of Equations Calculator, Nonlinear In a previous post, we learned about how to solve a system of linear equations In this post, we will learn how.
The elimination method of solving systems of equations is also called the addition method To solve a system of equations by elimination we transform the system such that one variable "cancels out" Example 1 Solve the system of equations by elimination $$ \begin{aligned} 3x y &= 5 \\ x y &= 3 \end{aligned} $$. Y^2 = x^32x^2 Natural Language;. Solve by Addition/Elimination x2y=3 2x3y=9 x − 2y = 3 x 2 y = 3 2x − 3y = 9 2 x 3 y = 9 Multiply each equation by the value that makes the coefficients of x x opposite (−2)⋅(x −2y) = (−2)(3) ( 2) ⋅ ( x 2 y) = ( 2) ( 3) 2x−3y = 9 2 x 3 y = 9 Simplify Tap for more steps Simplify ( − 2) ⋅ ( x − 2 y.
A y= x^2 5x 2 B y= 2x^2 5x 2 C y= 2x^2 4x 2 D y= x^2 5x 2 Tommy waves 45 kg Jamil Woods 53 kg what is the combined weight of the two boys in grams?. Solve the system by the elimination method 2x y 4 = 0 2x y 4 = 0 When you eliminate y, what is the resulting equation?. The value here is now we have an equation, one equation with one variable We can just solve for y So we get 2y is equal to y, and then we have minus 4 plus 7 So y plus 3 We can subtract y from both sides of this equation The left hand side, 2y minus y is just y y is equal to.
Solve the following equations by substitution method 5 x 3 y 8 = 0 and 2x 3 y 5 = 0 Solution Question 2 Solve the following equations using substitution method 5x 3y 8 = 0 and 2x 3y 5 = 0 Solution Question 3 Solve the following equations by substitution method y = 6x 11 and 2x 3y = 7 Solution. Example 7 Solve the following pair of equations by substitution method 7x – 15y = 2 x 2y = 3 7x – 15y = 2 x 2y = 3 From (1) 7x – 15y = 2 7x = 2 15y x = (𝟐 𝟏𝟓𝒚)/𝟕 Substituting the value of x in (2) x 2y = 3 (2 15𝑦)/7 2𝑦=3 Multiplying both sides by 7 7 × ( (2 15𝑦)/7) 7×2𝑦=7×3 (2 15y) 14y = 21 15y 14y = 21 – 2 29y = 21 – 2 29y = 19 y = 𝟏𝟗/𝟐𝟗 Putting value of y in equation. X2y=3/2 2xy=3/2 solve this equation using substitution method sumansunil2595 sumansunil2595 Math Secondary School answered X2y=3/2 2xy=3/2 solve this equation using substitution method 2 See answers ___k off Advertisement Advertisement kushaaal kushaaal Hope it is helpful ^) Advertisement Advertisement Srusti18.
Solve the system of linear equations using the GaussJordan elimination method 3x−2y 4z = 22 2xy− 2z = 3 x 4y − 8z = −16 Algebra Solve the following system of linear equations 2x 3y 6z = 12 5x 2y 8z = 29 7x 6y 4z = 49 First, I. $\begingroup$ I'm not saying that this method proves that the limit exist here I'm just pointing out WHY when he used y=x to approach, he got a limit that is not correct In fact, even if you prove that the limit agrees with all y=mx that wouldn't be. Solution Verified by Toppr By substitution method, 3x4y=10 & 2x−2y=2⇒2(x−y)=2⇒x−y=1 ___ (2) ∴x=y1→(1) Substituting in equation (2) ∴3x4y=10⇒3(y1)4y=10.
Ex 34, 1 (Elimination)Solve the following pair of linear equations by the elimination method and the substitution method (i) x y = 5 and 2x – 3y = 4 x y = 5 2x – 3y = 4 Multiplying equation (1) by 2 2(x y) = 2 × 5 2x 2y = 10 Solving.

Solve By Substitution Method 3x 5y 1 And 2x Y 3 Scholr

無料ダウンロード 3x 2y5 X5 Y
Cbse 10 Math Cbse Linear Equations In Two Variables Ncert Solutions
X+2y32 2x+y32 By Substitution Method のギャラリー

Ncert Class 10 Mathematics Chapter Wise Questions And Answers And Solutions
Solve The Differential Equation Dy Dx X 2y 3 2x Y 3 Sarthaks Econnect Largest Online Education Community
Cbse 10 Math Cbse Linear Equations In Two Variables Ncert Solutions

Solving Linear Systems By Substitution Lesson 3 2

Given The Four Lines With The Equations X 2y 3 0 3x 4y 7 0 2x 3y 4 0 4x 5y 6 0 Then Youtube

Solve Using Substitution Method 3x 2 5y 3 2 X 2 Y 2 13 6 Ans X 2 Y 3 Edurev Class 10 Question

X 2 2y 3 1 And X Y 3 3 Find X And Y Values Using Elimination And Substitution Method Youtube

X 2y 3 2 And 2x Y 3 2 By Elimination Method Brainly In
Solved Solve The System Of Equations Y 2x 3 And 2y 2x 8 Using The Substitution Method Course Hero

Solve The Pair Of Linear Equations By Substitution 3x 2 5y 3 2

印刷 X Y5 2x 3y5 ニスヌーピー 壁紙

Rd Sharma Class 10 Solutions Maths Chapter 3 Pair Of Linear Equations In Two Variables Exercise 3 3

1 Graph The System Of Linear Equations Solve The System And Interpret Your Answer 3y 2 Homeworklib
X 2 2y 3 1 And X Y 3 3 By Substitution Method

Ppt Chapter 3 Linear Systems Systems Of Linear Equations Powerpoint Presentation Id

Systems Of Equations With Substitution 2y X 7 X Y 4 Video Khan Academy
Solved Find The Common Solution Of Each Using The Elimination Substitution And Graphical Method 2x Y 2 X 3y 36 2 3x Y 6 X Y 6 3 Course Hero

9 Quant 2 Equations And 2 Variables Flashcards Quizlet

Answered 2 Using The Substitution Method Ken Bartleby
How To Solve Simultaneous Equations Using Substitution Method

Show That X 3 Y 2 Is Not A Solution Of The System Of Linear Equations 3x 2y 5 Youtube

Solving Linear Systems By Substitution Lesson 3 2

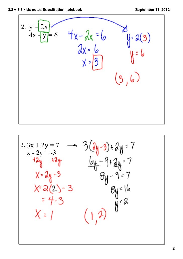
3 2 Substitution Method Notebook

Graph Graph Inequalities With Step By Step Math Problem Solver
Solve The Following Pair Of Linear Equations By The Substitution Method I X Y 14 X Y 4 Ii S T 3 S 3 T 2 6 Iii 3x Y 3 9x 3y 9 Iv 0 2 X 0 3 Y 1 3 0 4 X 0 5 Y 2 3 V Sqrt 2 X Sqrt 3 Y 0 Sqrt 3 X Sqrt 8 Y 0 Vi 3x 2 5y 2 2 X 3 Y 2 13 6

Rd Sharma Solutions For Class 10 Updated For 21 22 Chapter 3 Pair Of Linear Equations In Two Variables

Example 7 Solve By Substitution 7x 15y 2 X 2y 3
Solve The Following Pairs Of Linear Equations By The Substitution Method 3x 2 5y 3 2 X 3 Y 2 13 6 Sarthaks Econnect Largest Online Education Community
Solve 3x 4y 10 2x 2y 2 By The Method Of Elimination
How To Solve Using The Gauss Elimination Method Y Z 2 2x 3z 5 X Y Z 3 Quora
Solve For X And Y X 2 2y 3 1 X Y 3 3 Sarthaks Econnect Largest Online Education Community

Solve 2x 3 2 Frac D 2y Dx 2 2x 3 Frac Dy Dx 12y 6x Mathematics Stack Exchange
R D Sharma Solutions Class 10th Ch 3 Pair Of Linear Equations In Two Variables Exercise 3 3
What Is The Solution For An Equation Of A Line Passing Through The Point Of Intersection Of 2x 3y 5 0 And 7x 5y 2 0 And Parallel To The Lines 2x 3y 14 0 Quora
By The Substitution Method Solve The Linear Equation That Is 8 X 5 Y Is Equal To 9 And 3 X 2 Y Is Equal To 4 Mathematics Topperlearning Com Usvpr6ll

X 2y 3 2 2x Y 3 2 Solve This Equation Using Substitution Method Brainly In

X 2 2y 3 1 And X Y 3 3 Solve By Elimination Method Brainly In

Elimination Method Day 1 Ppt Download

Ex 3 4 1 I Class 10 Solve By Elimination And Substitution

1 2 X 2y 5 3 3x 2y 3 2 5 4 X 2y 3 5 3x 2y 61 60 Respected Teachers Please Find The Value Of X And Y Mathematics Topperlearning Com 5qbsqgee

3 Systems Of Linear Equations

3 2 Warm Up Solve The System Graphically 4x 2y 8 X Y 1 5 4 3 2 5 4 3 2 X 2y 8 4x 2y 4x 8 Y 2x 4 X Ppt Download

Linear Equation In Two Variables Mbr158creative

7 Y 3 2 X 2 14 4 Y 2 3 X 3 2 Mathematics Topperlearning Com Yy1pzkhh
How Do You Solve The System 2 X 4 Y 6 3x 2 Y 3 13 Socratic

6 3 Substitution Method Simultaneous Linear Equations Siyavula
Solved Solve By Using Substitution Method 2x 3y 2 X Chegg Com

7 Y 3 2 X 2 14 4 Y 2 3 X 3 2 Youtube

Ch4 Systems Of Linear Equations Y X Y X Y X Y X 3 Consistent Y 2 3 X 2 Independent Equations One Solution X Y Y X 3 Y X 2 Inconsistent Ppt Download
X 2 2y 3 1 And X Y 3 3

The Substitution Method

Expanding Factoring And Solving Sles Math173df
Solved Exercises Use The Substitution Method To Solve Each Chegg Com

Slope Intercept Mathpowerblog

7x 15y 2 X 2y 3 Solve Using Substitution Method Youtube

Draw The Graph Of The Equation X 2y 3 0 From Your Graph Find The Value Fo Y When I X 5 I Youtube

Using The Substitution Method To Solve A System Of Equations

Solve The Following Pair Of Linear Equations By The Elimination Method The Substitution Method And Geometrical Method Frac X 2 Frac 2y 3 1 And X Frac Y 3 3 Snapsolve

2x 2y 3 2x 3y 8 Solve By Elimination Method Brainly In

Example 7 Solve By Substitution 7x 15y 2 X 2y 3

Solve The Following Simultaneous Linear Equation By Substitution Method 2x 3y 4 3 5x 2y 7 0 Brainly In

Solve The Following Systems Of Equations X 2y 3 2 2x Y 3 2 Brainly In

Example 7 Solve By Substitution 7x 15y 2 X 2y 3

Systems Of Linear Equations
1
Solved 1 Solve The Following Using Graphical Method 12 Chegg Com
How To Solve This Differential Problem Dy Dx X 2y 3 2x Y 3 Quora

1 Graph The System Of Linear Equations Solve The System And Interpret Your Answer 3y 2 Homeworklib

Level U 2 3x 7y 10 0 Y 2x 3 0 Solde The Following Systems Of Equations 1 11x 15y 23 0 7x 2y
Tre 1 Solve The Following Pairs Of Equations By Reducing Th Scholr
R D Sharma Solutions Class 10th Ch 3 Pair Of Linear Equations In Two Variables Exercise 3 3
Solve The Following Pairs Of Linear Equations By The Elimination Method And The Substitution Method Ii X 2 2y 3 1 And X Y 3 3 Sarthaks Econnect Largest Online Education Community

Simultaneous Equations 1 Ppt Download

Solve By Substitution Method 2x Y 3 0 4x Y 5 0 Maths Pair Of Linear Equations In Two Variables Meritnation Com

Find The Solution To The Following System Of Linear Equations 2x 5y 4 02x Y 8 0a 3 2 B 2 3 C 1 2 D 3 2 Correct Answer Is Option D Can You Explain This Answer Edurev Class 10 Question

Solve These Linear Equations By Substitution Method 3x 2 5y 3 2 X 3 Y 2 13 6 Edurev Class 10 Question
Expand X 2 Y 3 2
Solve The Following Systems Of Equations 1 2 X 2y 5 3 3x 2y 3 2 5 4 X 2y 3 5 3x 2y 61 60 Sarthaks Econnect Largest Online Education Community
Solve The Following Systems Of Equations X 2y 3 2 2x Y 3 2 Sarthaks Econnect Largest Online Education Community

Solve 2x Y 5 And 3x 2y 8

Solve X Y 3 And X 3 Y 2 6 By Substituting Methos Scholr

Solve By Substitution Method 3x 5y 1 And 2x Y 3 Scholr

3x 2 5y 3 2 X 3 Y 2 13 6 Liner Equation Edurev Class 10 Question
How Do You Solve The System 2 X 4 Y 6 3x 2 Y 3 13 Socratic

Tuesday September 23 14 Warm Up Put The Solve The System Using The Substitution Method 2x 5y 5 1 X 3y 3 2 Solution Step 1 Solve 2 For X X 3y 3 2 X 3y

Solve The Pair Of The Following Equation By Substitution Method A 3x 2 5y 3 2 X 3 Y 2 13 6 Maths Pair Of Linear Equations In Two Variables Meritnation Com

Solve The Following Simultaneous Equations Graphically 3x Y 2 2x Y 3 Algebra Shaalaa Com
What Is The General Solution Of The Differential Equation 2x 2y 3 Dy Dx X Y 1 Quora
Solve The Following Pairs Of Linear Equations By The Substitution Method 3x 2 5y 3 2 X 3 Y 2 13 6 Sarthaks Econnect Largest Online Education Community

3 2 3 3 Substitution And Elimination

By Substitution Method Find X 2 2y 3 1 And X Y 3 3 Brainly In

Math 163 Online Problems Supplemental Lessons On Gaussian

Ncert Class 10 Mathematics Chapter Wise Questions And Answers And Solutions

How Do You Solve X 2y 6 And X Y 2 Socratic
Solve The Following Pair Ofequations By Substitution Method 3 2x Y 1 4 X 1 2y 1 And 3x Y 4 2 Y 5 5x

Solve 1 2 X 2y 5 3 3x 2y 3 2 5 4 X 2y 1 5 3x 2y 61 60 Mathematics Topperlearning Com 56o23roo

Solve The Following Equations By Inversion Method I X 2y 2 2x 3y 3

Ppt Solving Systems Of Equations Powerpoint Presentation Free Download Id
Solve The Following Pair Of Linear Equation By Substitution Method 3x 2y 7 0 4x Y 6 0

X 2y 3 2 2x Y 3 2 Solve This Equation Using Substitution Method Brainly In

Ex 3 6 1 I And Ii Solve 1 2x 1 3y 2 1 3x 1 2y



