X2+y2 Z20
Answer (1 of 6) x^2y^2z^2=2(xyz)3 => (x^2–2x)(y^22y)(z^22z)3=0 =>(x1)^2(y1)^2(z1)^2=0 Assuming x,y,z are real x=1, y=1, z=1 2x3y4z= (2*1)(3*(1))(4*(1)) = 23–4=1 Ans 1.
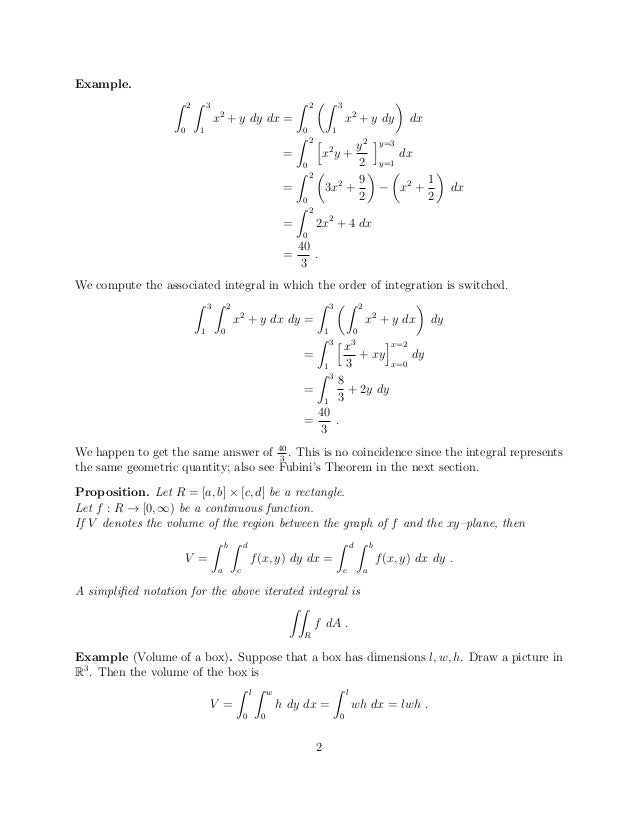
X2+y2 z20. Algebra Examples Rewrite (xy z)2 ( x y z) 2 as (xyz)(xyz) ( x y z) ( x y z) Expand (xyz)(xyz) ( x y z) ( x y z) by multiplying each term in the first expression by each term in the second expression Simplify each term Tap for more steps Multiply x x by x x Multiply y y by y y. For the z, direction, it’s clearly between z= 0 and z= x2 y2 The double integral formulation is ZZ R (x2 y2 0)dA The triple integral formulation is ZZZ T dV = Z 1 y= 1 Z x=1 2y x=y 1 Z x y2 0 dzdxdy 3Evaluate the volume bounded by the paraboloid z= x2 y2 and the plane z= y 2 This problem is tricky It’s on the book It’s one. Solution to Problem Set #9 1 Find the area of the following surface (a) (15 pts) The part of the paraboloid z = 9 ¡ x2 ¡ y2 that lies above the x¡y plane ±4 ±2 0 2 4 x ±4 ±2 0 2 4 y ±4 ±2 0 2 4 Solution The part of the paraboloid z = 9¡x2 ¡y2 that lies above the x¡y plane must satisfy z = 9¡x2 ¡y2 ‚ 0 Thus x2 y2 • 9 We.
Solve the first two for z x²y=z y²x=z x²y = y²x, since both equal to z x²y² = xy (xy)(xy) = (xy) We will see if we can divide by xy We will first assume xy ≠ 0 Then we can divide both sides by xy and get xy = 1 But since z²=xy, then that would mean z²=1 and z would be ±i. Plot x^2 3y^2 z^2 = 1 WolframAlpha Assuming "plot" is a plotting function Use as referring to geometry. From ∂z/∂x = −ysin(x−y) and ∂z/∂y = cos(x−y)ysin(x−y), it follows that ∂z/∂x(2,2) = 0, ∂z/∂y(2,2) = 1, and hence the tangent plane to z = ycos(x−y) at (2,2,2) is given by z−2 = 0·(x−2)1·(y−2) or, equivalently, y = z Exc The (first) partial derivatives of f(x,y) =.
X2yz=0, 2xyz=1, 3xy2z=5 \square!. "The value of `(x^2(yz)^2)/((xz)^2y^2)(y^2(xz)^2)/((xy)^2z^2)(z^2(xy)^2)/((yz)^2x^2)`is`1`(b) 0 (c) 1 (d) None of these". Ie (xy)^2=0 , (yz)^2=0 , (zx)^2=0 therefore from all these equation s it is clear that, x=y ,y=z ,z=x ,or x=y=z let , x=y=z=c therefore, (xy)/z = (cc)/c =2c/c=2 hence the answer is 2 44K views View upvotes Priya Darshini , works at Tata Consultancy Services Answered 4 years ago The equation means that X^2 Y^2 Z^2 = XY YZ ZX.
For $x\in\mathbb F_p$ let $S(x)=\{\,(y,z)\in\mathbb F_p^2x^2y^2z^2=0\,\} $ and let $f(x)=S(x)$ Similarly, let $g(x,y)$ the number of $z$ with $x^2y^2z^2=0$ Then $g(x,y)\in\{0,1,2\}$ and $$\tag1f(x)=\left\{\,yg(x,y)=1\,\}\right2\left\{\,yg(x,y)=2\,\}\right$$ Note that $g(x,y)=1$ occurs only if $x^2y^2=0$. S is the surface of the region bounded by the cylinder x2 y2 = 4 and the planes x z = 2 and z = 0 Solution The divergence of F is divF = ∂ ∂x (x2 sin(yz)) ∂ ∂y (y − xe−z) ∂ ∂z (z2) = 2x 12z Let E be the region {(x,y,z) 0 ≤ z. Y2 2z2 4.
3i Symmetric equations x 1 1 = y5 2 = z 6 3 (b)Find the points in which the required line in part (a) intersects the coordinate planes z= 0 ) x 1 1 = y5 2 = 6 3 = 2 )x= 1;y= 1. Write the following in the expanded form ( 2 x − y z) 2 Medium View solution > Find the value of each of the following, using the column method ( 3 5) 2 Medium. Transcribed image text Evaluate tripleintegral_B e (x^2 y^2 z^2)^3/2 where B is the ball B = { (x, y, z) x^2 y^2 z^2 lessthanorequalto 16} SOLUTION Since the boundary of B is a sphere, we use spherical coordinates B = { (rho, theta, phi) 0 lessthanorequalto rho lessthanorequalto 4,0 lessthanorequalto theta lessthanorequalto 2 pi.
An equation of three variable F (x;y;z)=0is called an equation of a surface S if (x1;y1;z1)2 S if and only if F (x1;y1;z1)=0 For instance, x 2y z =1 is the equation of the unit sphere centered at the origin The graph of a system of two equations F (x;y;z)=0;. X 2 1 = y 1 1 = z 1 or x 2 = 1 y= z (a)Find symmetric equations for the line that passes through the point (1;. Factor out the Greatest Common Factor (GCF), 'x' x(y 2 1z 2) = 0 Factor a difference between two squares x((y z)(y 1z)) = 0 Subproblem 1 Set the factor 'x' equal to zero and attempt to solve Simplifying x = 0 Solving x = 0 Move all terms containing x to the left, all other terms to the right Simplifying x = 0 Subproblem 2.
Traces of the level surface z = 4 x 2 y 2 Bookmark this question Show activity on this post I came up with this method to plot the traces of the surface z = 4 x 2 y 2, in this case for z = 1, 2, 3, and 4 I am now looking for a way to hide the surface z = 4 x 2 y 2, but keep the planes and the mesh curves Any suggestions?. Consider the equation below x 2 − y 2 z 2 − 2x 2y 4z 2 = 0 Reduce the equation to one of the standard forms. The joint probability distribution of X and Y is shown in the table below Y X 1 2 1 042 028 2 012 008 3 006 004 a Determine the marginal distributions of X and Y b Find the conditional probability distribution of X given Y=1 c Find the.
G(x;y;z)=0 represents the intersection of two surfaces represented by F (x;y;z)=0and. Z V ∇·D d V = Z 2 x=0 Z 2 y=0 Z 2 z=0 0 dx dy dz =0 (c) Apply Gauss’ law to calculate the total charge from Eq (429) Q = ♥ Z D·ds =F front F back F right F left F top F bottom, F front = Z 2 y=0 Z 2 z=0 (xˆ2(xy)yˆ(3x−2y)) ¯ ¯ ¯ ¯ ¯ x=2 ·(xˆ dz dy) = Z 2 y=0 Z 2 z=0 2(xy) ¯ ¯ ¯ ¯ ¯ x=2. A sphere is the graph of an equation of the form x 2 y 2 z 2 = p 2 for some real number p The radius of the sphere is p (see the figure below) Ellipsoids are the graphs of equations of the form ax 2 by 2 c z 2 = p 2 , where a , b , and c are all positive.
Winter 12 Math 255 Solution Z C xe 2xdx (x4 2x2y2)dy = Z C Pdx Qdy = ZZ R @Q @x @P @y dA = ZZ R (4x3 4xy2)dA Z 2ˇ 0 Z 2 1 (4r3cos3 4r3cos sin2 )rdrd = 4 Z 2ˇ 0 Z 2 1 (cos3 cos sin2 )r4drd = 4 Z 2ˇ 0 cos d Z 2 1 r4dr = 0 13) Use Green’s Theorem to nd the counterclockwise. OK, here's the solution for Diophantus's problem of determining the solution for x 2 y 2 = z 2 (1) We know that we can assume that x,y,z are coprime See my previous blog for details (2) The second important insight is that z has to be odd (a) Assume the opposite that z is even (b) Then, there exists another value Z such that z = 2 * Z (c) Also, z 2 is then divisible by 4. Neitherwaseven x=2h1and y=2k1 Then z 2=4h 4h14k2 4k1=4(h hk2 k)2 Thissaysthat2z2 but4 ∤ z2 whichisimpossiblebecause z2 isaperfectsquare Weshallchoose xtobeeven Theorem The triple (x,y,z) is a primitive Pythagorean triple if and only if there existtworelativeprimeintegers sand tsothat s > t >0and x=2st y= s2 −t2 and z= s2 t2.
Take the square root of both sides of the equation y^{2}x^{2}z^{2}=0 Quadratic equations like this one, with an x^{2} term but no x term, can still be solved using the quadratic formula, \frac{b±\sqrt{b^{2}4ac}}{2a}, once they are put in standard form ax^{2}bxc=0. Z=x^2y^2 WolframAlpha Natural Language Math Input Extended Keyboard. Theorem The positive primitive solutions of x^2 y^2 = z^2 with y even are x = r^2 s^2, y = 2rs, z = r^2 s^2, where r and s are arbitrary integers of opposite parity with r>s>0 and gcd(r,s)=1 Using this theorem, find all solutions of the equation x^2 y^2 = 2z^2 (hint write the.
2 Determine the area bounded by the curves f(x) = 4x and g(x) = 3x1 Answer Z 1 0 (3x1− 4x)dx = 3 2 x2 x− 1 ln4 4x 1 = 5 2 − 3 ln4 3 Determine the area bounded by the xaxis, the yaxis, the line y = 3 and the curve. Consider the paraboloid z = x2 y2 (a) Compute equations for the traces in the z = 0, z = 1, z = 2, and z = 3 planes Plane Trace z = 0 Point (0;0) z = 1 Circle x2 y = 1 z = 2 Circle x2 y = 2 z = 3 Circle x2 y2= 3 (b) Sketch all the traces that you found in part (a) on the same coordinate axes. 2x2yz = 1 First we rearrange the equation of the surface into the form f(x,y,z)=0 z=x^22xyy^2 x^22xyy^2z = 0 And so we define our surface function, f, by f(x,y,z) = x^22xyy^2z In order to find the normal at any particular point in vector space we use the Del, or gradient operator grad f(x,y,z) = (partial f)/(partial x) hat(i) (partial f)/(partial y) hat(j) (partial.
Math 9 Assignment 1 Solutions 2 4 Find the limit if it exists, or show that the limit does not exist lim (x;y)!(0;0) x2 y2 p x2 y2 Solution Notice the following inequality 0 6. #(x, y, z)=r(sin phi cos theta, sin phi sin theta, cos phi), r=sqrt(x^2y^2z^2)# Cartesian #to# cylindrical #(x, y, z)=(rho cos theta, rho sin theta, z), rho=sqrt(x^2y^2)# Substitutions in #x^2y^2=z# lead to the forms in the answer Note the nuances at the origin r = 0 is Cartesian (x, y, z) = (0, 0, 0) This is given by. Graph x^2y^22x=0 x2 − y2 − 2x = 0 x 2 y 2 2 x = 0 Find the standard form of the hyperbola Tap for more steps Complete the square for x 2 − 2 x x 2 2 x Tap for more steps Use the form a x 2 b x c a x 2 b x c, to find the values of a a, b b, and c c a = 1, b = − 2, c = 0 a = 1, b =.
If z 2 2z 2 = 0 then both x y2 2x 2 = 0 and 2xy 2y = 0 We begin with the equation from the imaginary part 2xy 2y = 0 2y(x 1) = 0 2y = 0 or x 1 = 0 y = 0 or x = 1 If y = 0, then x2 22x 2 = 0 which has no real solutions (the discriminant b 4ac = ( 2)2 4(1)(2) = 4) Since x is assumed to be real, no solutions result from y = 0. 5;6) and is parallel to the vector h 1;2;. Z 2 q 1−x2−y 2 9 0 f(x,y,z)dzdydx Treating S as a x simple region, we have for fixed y − z, x going from 0 to q 1− y2 9 − z2 4 The projected region in the y−z plane can be described as a zsimple region in the y − z plane and described by ((y,z) 0 ≤ z ≤ 2 r 1− y2 9,0 ≤ y ≤ 3) So, the above integral is the same as Z 3.
Z= p 1 2x2 4y2 Then, the vector equation is obtained as r(x;y) = xi yj p 1 2x2 4y2k 176 Find a parametric representation for the surface which is the part of the elliptic paraboloid x y2 2z2 = 4 that lies in front of the plane x= 0 If you regard yand zas parameters, then the parametric equations are x= 4 y2 2z2;. EXAMPLE 1415 Suppose the temperature at (x,y,z) is T(x,y,z) = e−(x2y2z2) This function has a maximum value of 1 at the origin, and tends to 0 in all directions If k is positive and at most 1, the set of points for which T(x,y,z) = k is those points satisfying x 2y2 z = −lnk, a sphere centered at the origin The level surfaces are the. Prove that if x, y, and z are real numbers such that x^2(yz)y^2(zx)z^2(xy)=0, then at least two of them are equal https//mathstackexchangecom/questions//provethatifxyandzarerealnumberssuchthatx2yzy2zxz.
If x, y, z are different and Δ = (x, x2, 1 x3), (y, y2, 1 y3), (z, z2, 1 z3) = 0 then show that 1 xyz = 0 We have Now, we know that If some or all elements of a row or column of a determinant are expressed as sum of two (or more) terms, then the determinant can be expressed as sum of two (or more) determinants. The Solution (x2)^2 (y1)^2 (z1)^2 = 0 An Elliptical Cone Reduce the equation to one of the standard forms, classify the surface, and sketch it x^2 y^2 z^2 4x 2y 2z 4 = 0 1) Reorganize the equation x^2 y^2 z^2 4x 2y 2z 4 = 0 >> x^2 4x y^2 2y z^2 2z 4 = 0 2) complete the square. Get stepbystep solutions from expert tutors as fast as 1530 minutes Your first 5 questions are on us!.
You can see that it is a cone noting that for any $y=a$ the projection of the surface on the plane $(x,z)$ is a circumference of radius $a$ with equation $z^2x^2=a^2$ Note that $z=\sqrt{y^2x^2}$ is the semicone with $z>0$, ie above the plane $(x,y)$ and $z=\sqrt{y^2x^2}$ is the semicone below this plane Share. Click here👆to get an answer to your question ️ Let 2x 3y 4z = 9 , x , y , z > 0 , then the maximum value of ( 1 x )^2 ( 2 y )^3 ( 4 z )^4 is. Circlefunctioncalculator x^2y^2=1 en Related Symbolab blog posts Practice, practice, practice Math can be an intimidating subject Each new topic we learn has symbols and problems we have never seen The unknowing.
The problem is I have to find all the possible combination of integers (x, y, z) that will satisfy the equation x^2 y^2 z^2 = N when you are given an integer N You have to find all the unique tuples (x, y, z) For example, if one of the tuple is. Example 5 X and Y are jointly continuous with joint pdf f(x,y) = (e−(xy) if 0 ≤ x, 0 ≤ y 0, otherwise Let Z = X/Y Find the pdf of Z The first thing we do is draw a picture of the support set (which in this case is the first. Fall 13 S Jamshidi 4 x4 y4 z4 =1 If x,y,z are nonzero, then we can consider Therefore, we have the following equations 1 1=2x2 2 1=2y2 3 1=2z2 4 x4 y4 z4 =1 Remember, we can only make this simplification if all the variables are nonzero!.
Z 2 0 (12r3 − 3r5)dr = 32π (b) F(x,y,z) = (x 2 sin(yz))i (y − xe−z)j z k;.
Show That The Plane 2x 2y Z 12 0 Touches The Sphere X 2 Y 2 Z 2 2x 4y 2z 3 0

Convert A Rectangular Equation To A Spherical Equation X 2 Y 2 Z 2 9z 0 Youtube

Solved Find The Surface Area Of The Part Of The Hemisphere Chegg Com
X2+y2 Z20 のギャラリー

Describe All Integral Solutions Of The Equation X 2 Y 2 2z 2 Such That X Y Z 0 Gcd X Y Z 1 And X Y Mathematics Stack Exchange
If X Y Z 0 Then X 2 2x 2 Yz Y 2 2y 2 Zx Z 2 2z 2 Xy Sarthaks Econnect Largest Online Education Community

Answered Solve X Y 2z 0x 2y 3z Bartleby

Solved 4 Find The Volume Of The Region D Enclosed By The Chegg Com

Answered 14 F X Y Z X Y 4z X Y Bartleby

Finding Volume Of Solid Under Z Sqrt 1 X 2 Y 2 Above The Region Bounded By X 2 Y 2 Y 0 Mathematics Stack Exchange

Graphing 3d Graphing X 2 Y 2 Z 2 Intro To Graphing 3d Youtube

Level Surfaces
If U 2 1 X 2 Y 2 Z 2 Then Show That 2u X 2 2u Y 2 2u Z 2 0 Sarthaks Econnect Largest Online Education Community
How To Find X In Terms Of Y And X In The Equation X 2 Xy Z 2 0 Quora

Surfaces Part 2

Factorise X 2 Y 2 Z 2 Xy Yz Zx Youtube
2

The Graph Of The Equation X 2 Y 2 0 In The Three Dimensional Space Is A X Axis B Y Axis Youtube
1
A Circle With Center 2 3 0 And Radius 1 Is Drawn In The Plane Z 0 Equation Of The Sphere Which Passes Through This Circle And Through The Point 1 1 1 Is

If X2 Y2 Z2 2 X Y Z 3 Find The Value Of 2x 3y 4z Brainly In

Elliptic Paraboloid X 2 Y 2 Z 2 0 Download Scientific Diagram

Solutions For Review Problems

Surfaces

Poprzednio Matematyka Pisz Pl Matura Z Matematyki Egzamin Osmoklasisty Forum Zadankowe Liczby I Wyrazenia Algebraiczne Logika Zbiory Przedzialy Wartosc Bezwzgledna Funkcja I Jej Wlasnosci Funkcja Liniowa Funkcja Kwadratowa Wielomiany Funkcja

Solved Match Each Function With Its Graph Give Reasons For Chegg Com

Extremes Of F X Y Z X 1 2y 2 Z 1 2 With X 2 Y 2 Z 2 Leq 1 Mathematics Stack Exchange

Solved Consider The Equation Below X2 Y2 Z2 2x 2y Chegg Com

Solved What Does The Equation X 2 Y 2 Z 2 0 Represent Chegg Com

Lagrange Multipliers Ppt Download

A Sketch And Identify The Surface Z X 2 Y 2 B Find The Equation Of The Intersection Z X 2 Y 2 With Z 5 Sketch And Identify It Study Com

Solved To Find The Points On The Cone Z2 X2 Y2 That Courses Archive

Find The Volume Bounded By 4z 16 X 2 Y 2 And The Plane Z 0 Using Double Integral Mathematics Stack Exchange

Plot Of A Portion Of The Variety X 2 Y 2 Z 2 Z 3 0 Download Scientific Diagram

Assignment 5 Math 215 Q1 1 Evaluate The Triple Integral A

35 Reduce The Equation X 2 Y 2 Z 2 4x 2y 2z 4 0 To One Of The Standard Forms Classify The Surface And Sketch It Toughstem
The Function Z X 2 Y 2 0 5 Cos 18 X 0 5 Cos 18 Y Analytical Download Scientific Diagram

Find Volume Given V X Y Z X 2 Y 2 Z 2 Le 4 X 2 Y 2 Ge 1 Mathematics Stack Exchange

Solved Identify And Sketch The Given Quadratic Surface 1 X2 Chegg Com
2

Vectors And The Geometry Of Space Monografias Com

If X X 1 X 2 Represents

Elliptic Paraboloid X 2 Y 2 Z 2 0 Download Scientific Diagram

Surface Integrals

Evaluate The Volume Of The Solid Bounded By Z 8 X 2 Y 2 Z X 2 Y 2 X 1 Y Sqrt 3 X Y 0 Mathematics Stack Exchange

1 Sketch The Surface Z X 2 Y 2 2 Sketch The Surface Z 2y 2 4x 2 Study Com

Notes Up To Ch7 Sec3

If X 2 Y 2 Z 2 2 X Y Z 3 Find The Value Of 2x 3y 4z Youtube

Assignment 2 Solutions

How To Plot X 2 Y 2 Z 2 Mathematics Stack Exchange

View Question If X Y Z Xyz Then Prove That 2 X 2 Y 2 Z 2 3 X Y Z

Solved Consider The Equation Below X 2 Y 2 Z 2 2x Chegg Com

Surfaces

Convert A Rectangular Equation To A Spherical Equation X 2 Y 2 Z 2 0 Youtube
2
Solved X 2 Y 2 Z 2 0 In A 3d Graph Chegg Com
Page 37 Matematyka Podrecznik Zakres Podstawowy Klasa 2
Pages Mini Pw Edu Pl

Solved Describe The Given Set In Spherical Coordinatees 47 Chegg Com
Solved Form Partial Differential Equation By Eliminating The Arbitrary Function F Ax By Cz X 2 Y 2 Z 2 0 Also Find Order And Degree Of The Course Hero

If X 2 Y 2 Z 2 64 X Y Y Z Z X 2 And X Y 3z Then The Value Of Z Is A 2 B 3 C 4 D Youtube

Solve The System Of Equations Re Z 2 0 Z 2

Sphere X 2 Y 2 Z 2 1 Patilksu

How To Plot X 2 Y 2 Z 2 Mathematics Stack Exchange

Answered Find The Points On The Cone Z2 X2 Bartleby
If X 2 Y 2 Z 2 2xyz 1 Then Prove That Dx 1 X 2 Dy 1 Y 2 Dz 1 Z 2 0 Sarthaks Econnect Largest Online Education Community

35 Reduce The Equation X 2 Y 2 Z 2 4x 2y 2z 4 0 To One Of The Standard Forms Classify The Surface And Sketch It Toughstem

Surfaces
What Is The Graph Of X 2 Y 2 Z 2 1 Quora

Surfaces
Solved Identify The Surface X Y 2 2z 2 0 Sketch The Chegg Com
What Is The Graph Of X 2 Y 3 X 2 2 1 Quora
1
1

1 Zamiast Liter We Wzorach Zapisz Odpowiednie Liczby Wy A Y 2 X Z Dla X 1 Z 2 Y 2 X Brainly Pl

Elliptic Paraboloid X 2 Y 2 Z 2 0 Download Scientific Diagram

If X 2 Y 2 Z 2 R 2 And X Y Z Gt 0 Then Tan 1 Xy Zr Tan 1 Yz Xz Tan Youtube

Whitney Cusp Y 2 X 3 Z 2 X 2 0 Consider The Whitney Cusp That Download Scientific Diagram
Let W X Y Z 1 X 2 Y 2 Z 2 X Y Z 0 0 0 Show That 2w X 2 2w Y 2 2w Z 2 0 Sarthaks Econnect Largest Online Education Community

X2 Y2 3 Y2 Z2 3 Z2 X2 3 2 23 2 23 53 3 X Y Scholr

Geometria Analityczna W R 3 Zadania Notatek Pl
2

1 1 1 4 Homework Solutions 2 2b Prove That Im Iz Re Z Write Z

Solved Consider The Equation Below X 2 2y 2z 2 0 Chegg Com

上 Xy Y2 X X X Y Y X 3 Y 3 X Y X 2 Xy Y 2

Surfaces Part 2
Let W X Y Z 1 X 2 Y 2 Z 2 X Y Z 0 0 0 Show That 2w X 2 2w Y 2 2w Z 2 0 Sarthaks Econnect Largest Online Education Community

Find The Points On The Cone Z 2 X 2 Y 2 Tat Are Closest To The Point 4 2 0 Youtube

Solutions To Homework Assignment 4 Math Pdf Free Download

The Surface X 2 Y 2 Z 2 2xy Z A Is Shown In The Case A 0 5 Download Scientific Diagram

How Do You Find The Volume Of A Solid Where X 2 Y 2 Z 2 9 Is Bounded In Between The Two Planes Z 2x 2 And Z 2x 3 Socratic

Surfaces
If X 2 Y 2 Z 2 2 X Y Z 3 What Is The Value Of 2x 3y 4z Quora

Surfaces Part 2

X2 Y2 Z2 1 Geogebra
Unit 2
Solved Y And Z 0 1 22 X 2y Z 0 A Y 2z 2 Z 0 X 2y Chegg Com

Z X 2 Y Z 2 0 Download Scientific Diagram

How To Plot Z 5 Sqrt X 2 Y 2 0 Le Z Le 5 In Mathematica Mathematics Stack Exchange

Answered If X 2 2 Y 3 2 Z 4 2 0 What Is The Bartleby
1

6 Consider The Sphere S Cut Out By Z2 Y2 22 Maximize Daf P Where Y Z 2y 3z And U Is A Unit Vector In The Tangent Plane To S At

Notes Up To Ch7 Sec3

Solved Evaluate Tripleintegral B E X 2 Y 2 Z 2 3 2 Chegg Com
Solved A Evaluate The Surface Integral Z V X2 Y2 Ds Where O Is The Surface Of The Sphere X2 Y2 Z2 4 For Z 2 0 B Use Gauss Theorem To Course Hero



