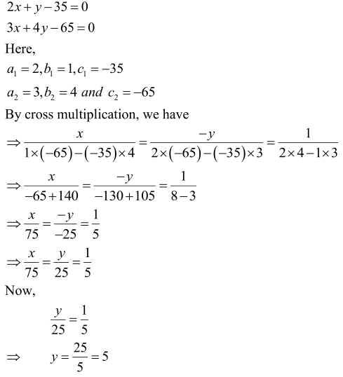
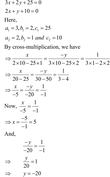
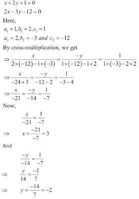
5x 1+1y 22 6x 1 3y 21 By Cross Multiplication Method
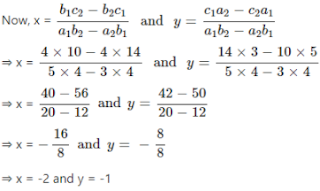
Facebook Whatsapp Transcript Example 17 Solve the pair of equations 2/𝑥 3/𝑦=13 5/𝑥−4/𝑦=−2 2/𝑥 3/𝑦=13 5/𝑥−4/𝑦=−2 So, our equations become 2u 3v = 13 5u – 4v = –2 Hence, our equations are 2u 3v = 13 (3) 5u – 4v = – 2 (4) From (3) 2u.
5x 1+1y 22 6x 1 3y 21 by cross multiplication method. Substitution Method calculator Solve linear equation 7y2x11=0 and 3xy5=0 using Substitution Method, stepbystep online We use cookies to improve your experience on our site and to show you relevant advertising By browsing this website, you agree to our use of cookies. KSEEB SSLC Class 10 Maths Solutions Chapter 3 Pair of Linear Equations in Two Variables Ex 35 are part of KSEEB SSLC Class 10 Maths SolutionsHere we have given Karnataka SSLC Class 10 Maths Solutions Chapter 3 Pair of Linear Equations in Two Variables Exercise 35. Graph{x^33x^29x5 1459, 1726, 856, 736} FIrst determine the interval of definition, then the behavior of first and second derivatives and the behavior of the function as \displaystyle{x}.
Algebra Calculator is a calculator that gives stepbystep help on algebra problems See More Examples » x3=5 1/3 1/4 y=x^21 Disclaimer This calculator is not perfect Please use at your own risk, and please alert us if something isn't working Thank you. Answer (1 of 10) Equations can be written as 1/x1/y=7 (yx)/xy=7 xy=7xy And 2/x3/y=17 (2y3x)/xy=17 3x2y=17xy Equation 2 2(equation 1) 3x2y 2x 2y = 17xy14xy x=3xy 1=3y y=1/3 From equation 1 1/x1/y =7 1/x=4 x =1/4. Here this means that there is unique solution for the given equations ⇒ ⇒ x = 2 and y = 1 NCERT Solutions for Class 10 Maths Exercise 35 (iii) 3 x − 5 y = 6 x − 10 y = 40 Comparing equation 3 x − 5 y = with and 6 x − 10 y = 40 with , We get Here.
X(2) = 25 46j;. A system of equations consists of a set of two or more equations with the same variables In this section, we will study linear systems consisting of two linear equations each with two variables The system {2x−3y = 0 −4x2y = −8 { 2 x − 3 y = 0 − 4 x 2 y = − 8 is one such system A solution to a linear system, or simultaneous. 27 Kronecker Delta and Alternating Tensor The Kronecker delta is defined as (216) δ ij = {1 if i = j 0 if i ≠ j} In three spatial dimensions it is the 3 × 3 identity matrix δ = 1 0 0 0 1 0 0 0 1 In matrix multiplication operations involving the Kronecker delta, it simply replaces its summedover index by its other index.
Divide \frac{5y}{y1}, the coefficient of the x term, by 2 to get \frac{5y}{2\left(y1\right)} Then add the square of \frac{5y}{2\left(y1\right)} to both sides of the equation This step makes the left hand side of the equation a perfect square. Algebra Solve by Substitution xy=5 , xy=1 x y = 5 x y = 5 , x − y = 1 x y = 1 Subtract y y from both sides of the equation x = 5− y x = 5 y x−y = 1 x y = 1 Replace all occurrences of x x with 5−y 5 y in each equation Tap for more steps Replace all occurrences of x x in x − y = 1 x y = 1 with 5 − y 5 y. Answer (1 of 6) The answer is x=0,7 Let y=(x1) \dfrac{y}{2}\dfrac{2}{y}=\dfrac{y}{3}\dfrac{3}{y}\dfrac{5}{6} \implies 6y\Big(\dfrac{y}{2}\dfrac{2}{y}\Big.
Determine the missing odd samples of the DFT Use the properties of the DFT to solve this problem 14The DFT of a 5point signal x(n), 0 n 4 is X(k) = 5;. Y0 = 1, y1 = 2, y2 = 1 and yn=0 for all other values of n A Is this system causal?. Multiply the numerator of the first fraction by the denominator of the second fraction Set this equal to the product of the denominator of the first fraction and the numerator of the second fraction Solve the equation for x x Tap for more steps Simplify ( x − 5) ⋅ ( − 3) ( x 5) ⋅ ( 3).
In case there is a unique solution, find it by using cross multiplication method x – 3y – 3 = 0 3x – 9y – 2 = 0 VIEW SOLUTION Exercise 35 Q 12 Page 62 Which of the following pairs of linear equations has unique solution, no solution or infinitely many solutions?. X = 1/2, y = 1/3 Hence the solution is (1/2, 1/3) Question 2 Akshaya has 2 rupee coins and 5 rupee coins in her purse If in all she has 80 coins totalling ₹ 2, how many coins of each kind does she have Solution Let "x" and "y" number of 2 rupee and 5. 6/x13/y2=1 by elimination method 7 During examination, Sonal studied for 5hours She studied Science for 14 hours, English for 1 hours and Mathematics for rest of the hours.
Simplify algebraic expressions stepbystep \square!. 5/x11/y2=2 ) 1 6/x13/y2=1 ) 2 let assume, 1/x1=u, 1/y2=v multiply equation 1 by 3, we will get 15* u = 3* v = 6 ) 3 add equation 2 and 3 21* u = 7 u = (1/3) x 1=3 x = 4 b=1/3 y – 2 = 3 y = 5. `=> y = 5 3 = 2` Hence, solution of the given system of equation is x = 3, y = 2 Concept Algebraic Methods of Solving a Pair of Linear Equations Substitution Method.
In case there is a unique solution, find it by using cross multiplication method?. X – 3y = 7 (15) Solution x 2y – 2 = 0 x – 3y – 7 = 0 Question 22 A man earns ₹600 per month more than his wife Onetenth of the man’s salary and l/6 th of the wife’s salary amount to ₹1,500, which is saved every month Find their. 5u – 2 = 1 ⇒5u = 1 ⇒u = 1/ 5 x y = 5 (vi) Adding (v) and (vi), we get 2x = 6 ⇒ x = 3 Substituting x = 3 in (vi), we have 3 y = 5 ⇒ y = 5 – 3 = 2 Hence, x = 3 and y = 2.
Cross Multiplication Method Examples Example 1 Solve the following system of equations by crossmultiplication method 2x 3y 8 = 0 4x 5y 14 = 0 Sol The given system of equations is 2x 3y 8 = 0 4x 5y 14 = 0 By crossmultiplication, we get. 24 c JFessler,May27,04,1310(studentversion) 212 Classication of discretetime signals The energy of a discretetime signal is dened as Ex 4= X1 n=1 jxnj2 The average power of a signal is dened as Px 4= lim N!1 1 2N 1 XN n= N jxnj2 If E is nite (E < 1) then xn is called an energy signal and P = 0 If E is innite, then P can be either nite or innite. Get stepbystep solutions from expert tutors as fast as 1530 minutes.
The system is not causal because y becomes nonzero before x does, ie, y0=1 but x0=0 B What are the nonzero values of the output of this LTI system when the input is x0 = 0, x1 = 1, x2 = 1, x3 = 1, x4 = 1 and. 2 x2=162 Divide both sides by 2, the coefficient of x x=8 Simplify 3 5 x1=− 11 Write the equation 5 x11=− 111 Add 1 to both sides 5 x=− 10 Simplify;. Simple and best practice solution for 22(x6)=5(x1) equation Check how easy it is, and learn it for the future Our solution is simple, and easy to understand, so don`t hesitate to use it as a solution of your homework.
A linear equation is an equation in which the variable(s) is(are) with the exponent 1 Example \2 x = 23 \ \ x y = 5\ 4 How does one solve the system of linear equations?. 2 x y = 5, 3 x 2 y = 8 A Unique solutions, x = 2 and y = 1 B No solutions C Infinitely many solutions D Data insufficient Medium Open in App Solution Verified by Toppr Correct option is A Unique solutions, x = 2 and y = 1 Given pair of. Solve each of the following systems of equations by the method of cross multiplication bx/a ay/b = a^2 b^2 x y = 2ab asked Apr 27 in Linear Equations by Gargi01 ( 506k points) pair of linear equations in two variables.
Solve the following pair of linear equations by the cross multiplication method x 2y = 2;. Cross multiplication is only applicable when we have a pair of linear equations in two variables Let us suppose that a1x b1y c1 = 0 and a2x b2x c2 = 0 are the two equations which has to be solved By using cross multiplication, we will get the values x and y such as x = b1 c2 − b2 c1 b2 a1 − b1 a2 x = b 1 c 2 − b 2 c 1 b 2 a 1. Reverse order x 1 = y″, x 2 = y′, x 3 = y Deduce the fact that there are multiple ways to rewrite each nth order linear equation into a linear system of n equations y″′ 6y″ y′ − 2y = 0 Answers D11 1 x 1′ = x 2 2 x 1′ = x 2 x 2′ = −5x 1 4 x 2 x 2′ = x.
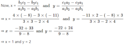
So , x = 1/5 y = 2 (iv) 5/(x1) 1/(y2) = 2 6/(x1) – 3/(y2) = 1 Solution Substituting 1/(x1) = m and 1/(y2) = n in the given equations, we get, 5m n = 2 (i) 6m – 3n = 1 (ii) Multiplying equation (i) by 3, we get 15m. Solution 5x − 2y = 16 (1) x 3y = 7 (2) By Cramer's rule, x = Δ1/Δ = 34/17 = 2 y = Δ2/Δ = 51/17 = 3 So, the values of x and y are 2 and 3 respectively Example 2 Solve the following system of linear equations using Cramer’s rule. Why or why not?.
Subtract 1 / 2 1 / 5 = 1 5 / 2 5 1 2 / 5 2 = 5 / 10 2 / 10 = 5 2 / 10 = 3 / 10 For adding, subtracting, and comparing fractions, it is suitable to adjust both fractions to a common (equal, identical) denominator The common denominator you can calculate as the least common multiple of both denominators LCM(2, 5) = 10 In. X(4) = 17 52j;. Simple and best practice solution for 5/6x2=1/x1 equation Check how easy it is, and learn it for the future Our solution is simple, and easy to understand, so.
By solving equation 3 x 4 y = 2 5 and 4 x 3 y = 2 4 with the help of cross multiplication method, we obtain a x = b y = c 1 then the value of c a b is equal to Hard View solution. Get stepbystep solutions from expert tutors as fast as 1530 minutes Your first 5 questions are on us!. Rational equations Calculator Get detailed solutions to your math problems with our Rational equations stepbystep calculator Practice your math skills and learn step by step with our math solver Check out all of our online calculators here!.
2 Solution Reading o the coe cients of the parameters t and s, we see that v 1 = i 3j 2k and v 2 = 2i 4j 7k are the direction vectors for L 1 and L 2Because v 1 v 2 = 2 12 14 = 0, we conclude that the lines are perpendicular. Now, apply crossmultiplication by multiplying the numerator of the first fraction by the denominator of the second fraction;. (x 3) * 1 = x 3 Multiply dominator of 1 ST fraction by numerator of 2 ND fraction;.
In case there is a unique solution, find it by using cross. We designate (3, 5) as (x 2, y 2) and (4, 2) as (x 1, y 1) Substituting into Equation (1) yields Note that we get the same result if we subsitute 4 and 2 for x 2 and y 2 and 3 and 5 for x 1 and y 1 Lines with various slopes are shown in Figure 78 below. Find circular convolution and linear using circular convolution for the following sequences x1(n) = {1, 2, 3, 4} and x2(n) = {1, 2, 1, 2} Using Time Domain formula.
Cross multiplication method is used in solving linear equations in two variables The simplest and easiest method of solving linear equations in two variables is done by the method of crossmultiplication This method is mostly used when we have a pair of variables in a linear equation. Matrix addition, multiplication, inversion, determinant and rank calculation, transposing, bringing to diagonal, triangular form, exponentiation, LU Decomposition, solving of systems of linear equations with solution steps. 1 13The even samples of the DFT of a 9point real signal x(n) are given by X(0) = 31;.
We have different methods to solve the system of linear equations Graphical Method Substitution Method Cross Multiplication Method Elimination Method Determinants. X(8) = 55 80j;. Now one side has all terms with variables and only terms with variables 5 x5=− 105 Divide both sides by 5, the coefficient of x x=− 2.
2 x 1 = 3 x − 1 Go!. 2 x 1,y 2 y 1,z 2 z 1i= * OQ * OP, where Ois the origin, = (0,0,0) The vector * OP is called the position vector of the point P For convenience, we use boldfaced lowercase letters to denote vectors For example, v =< v 1,v 2, 3 >is a (position) vector in R3 associated with the point ( v 1,v 2, 3) Definition 126 Two vectors are said to. X(6) = 93 63j;.
2 * (x 1) = 2x 2 Equate the two products and combine the like terms 4x 12 = 2x 2 Isolate the variable x by adding 2x to.

Find The Coordinates Of The Point Where The Line Through The Points 3 4 5 And 2 3 1 Crosses The Plane Determined By The Points 1 2 3 4 2 3 And 0 4 3 Mathematics Shaalaa Com
R D Sharma Solutions Class 10th Ch 3 Pair Of Linear Equations In Two Variables Exercise 3 4

Selina Concise Mathematics Part I Solutions For Class 9 Mathematics Icse Chapter 6 Simultaneous Linear Equations Including Problems Topperlearning
5x 1+1y 22 6x 1 3y 21 By Cross Multiplication Method のギャラリー
Ncert Solutions For Class 10 Mathematics Cbse Chapter 3 Pairs Of Linear Equations In Two Variables Topperlearning
Using Matrices Solve The Following System Of Equations 2x 3y 5z 11 3x 2y 4z 5 X Y 2z 3 Quora

By Solving Equation 3x 4y 25 And 4x 3y 24 With The Help Of Cross Multiplication Method We Obtain Xa Yb 1c Then The Value Of A Is Equal To

Mp Board Class 10th Maths Solutions Chapter 3 Pair Of Linear Equations In Two Variables Ex 3 5 Mp Board Solutions
Which Of The Following Pairs Of Linear Equations Has Unique Solution No Solution Or Infinitely Many Solutions I X 3y 3 0 3x 9y 2 0
1

Coss Multiplication Method For Solving Linear Equations Ncert 10
R D Sharma Solutions Class 10th Ch 3 Pair Of Linear Equations In Two Variables Exercise 3 4

Topic Pair Of Linear Equtions In Two Variables

Solve By Cross Multiplication 2x Y 5 And 3x 2y 8 Video

Ncert Solutions For Class 10 Maths Chapter 3 All Q A

無料ダウンロード 3x 2y5 X5 Y

Systems Of Equations And Matricies

Topic Pair Of Linear Equtions In Two Variables

Important Questions For Class 10 Maths Chapter 3 Pair Of Linear Equations In Two Variables Learn Cbse

Cross Multiplication Method For Solving Equations A Plus Topper
How To Solve The Following Simultaneous Equations By Elimination Method A 2x 3y 12 X Y 1 B 3x Y 10 C X 3y 1 3x 2y 4 0 D 5 Quora

Example 17 Solve 2 X 3 Y 13 5 X 4 Y 2 Examples

Algebraic Methods For Solving Systems Beginning Algebra

N Cycgicd8frnm
R D Sharma Solutions Class 10th Ch 3 Pair Of Linear Equations In Two Variables Exercise 3 4

Systems Of Equations With Substitution 9x 3y 15 Y X 5 Video Khan Academy

X 2

Solve By Reducing Them To A Pair Of Linear Equations 5 X 1 1 Y 2 2 6 X 1 3 Y 2 1 Youtube

Simultaneous Linear Equations Class 9th Concise Selina Icse Maths Icsehelp
R D Sharma Solutions Class 10th Ch 3 Pair Of Linear Equations In Two Variables Exercise 3 4

Solving Equations Using Cross Multiplication Method

Solve By Using Cross Multiplication Method 5 X 1 1 Y 2 2 6 X 1 3 Y 2 1 Brainly In

Solve By Cross Multiplication Method 2 X 3 Y 5 3 X 1 Y 9 0

Solve This By Cross Multiplication Method 2 Ax By A 4b 0 2 Bx Ay B 4a 0 Mathematics Topperlearning Com K2zyk5cc

Cross Multiply Definition Steps Comparing Fractions Ratios Examples

Solve The Pair Of Linear Equations By Cross Multiplication Method 2 2x Y 5 3 X 3y 1 0 Brainly In
Solve The System Of Equations By Using The Method Of Cross Multiplication 5 X Y 2 X Y 1 0 15 X Y 7 X Y 10 0 Sarthaks Econnect Largest Online Education Community

Ncert Solutions Class 10 Maths Chapter 3 Pair Of Linear Equations In Two Variables Ship Hang Nhanh

Cross Multiplication Method Formula Derivation Examples Cuemath

Coss Multiplication Method For Solving Linear Equations Ncert 10
Solve The Following Systems Of Equations 6 X Y 7 X Y 3 1 2 X Y 1 A X Y Where X Y 0 And X Y 0 Sarthaks Econnect Largest Online Education Community

Ncert Solutions For Class 10 Maths Chapter 3 Exercise 3 5 Pair Of Linear Equations In Two Variables

印刷 X 2 Y 2 1 3 X 2 Y 3 X 3 2 Y 2 3 2 X 1 4 Y 1 3 4 Blogjpmbahek7oh

Solve The Following Pairs Of Equation By Cross Multiplication Method X Upon 3 Y Upon 5 Equal To 1 Brainly In

Simultaneous Linear Equations Class 9th Concise Selina Icse Maths Icsehelp

Solving Rational Equations

5 X 1 1 Y 2 2 6 X 1 3 Y 2 1 Solve The Following Pairs Of Equations By Reducing Them To Pair Of Linea Youtube
6x 3y 6xy 2x 4y 5xy

Coss Multiplication Method For Solving Linear Equations Ncert 10

Systems Of Equations With Substitution 9x 3y 15 Y X 5 Video Khan Academy

Free Math Answers Answers Within 24 Hours Step By Step Explanations

Solve 2 X 2 3y 1 6 And 3 X 2 Y 0 And Hence Find A For Which Y A X 4 Youtube

Cross Multiplication Method For Solving Equations A Plus Topper

Algebra Ppt Download

Pair Of Linear Equations In Two Variables Ncert Class 10 Maths
Cbse 10 Math Ncert Solutions

Solve The Following System Of Eq Using Elimination Method 1 5x 1 6y 12 And 1 3x 3 7y 8 Mathematics Topperlearning Com Tejj3bb
Solve The Following Systems Of Equations 5 X 1 2 Y 1 1 2 10 X 1 2 Y 1 5 2 Where X 1 And Y 1 Sarthaks Econnect Largest Online Education Community

Area Of Quadrilateral When Four Vertices Are Given
Solve The Following Pair Of Linear Equation By Substitution Method 3x 2y 7 0 4x Y 6 0

Example 18 Solve 5 X 1 1 Y 2 2 6 X 1 3 Y 2 1 Examples
How To Solve 1 X 1 Y 7 2 X 3 Y 17 Where X And Y Is Not Equal To 0 By Cross Multiplication Method Quora

Rfu5tct Tpd 3m

Solve By Cross Multiplication X 2y 1 0 2x 3y 12 0 Youtube

Coss Multiplication Method For Solving Linear Equations Ncert 10

Topic Pair Of Linear Equtions In Two Variables
Solve For X And Y X 1 2 Y 1 3 9 X 1 3 Y 1 2 8 Sarthaks Econnect Largest Online Education Community
R D Sharma Solutions Class 10th Ch 3 Pair Of Linear Equations In Two Variables Exercise 3 3

Example 18 Solve 5 X 1 1 Y 2 2 6 X 1 3 Y 2 1 Examples
Selina Chapter 6 Linear Equations Including Problems Icse Solutions Class 9 Maths

Class 10 Chapter 2 Pair Of Linear Equation In Two Variable Mynoteshala
What Is The Value Of The Product 1 1 2 1 1 3 1 1 4 1 1 5 Quora

How To Cross Multiply 8 Steps With Pictures Wikihow

2 X 1 3 Y 1 2 3 X 1 2 Y 1 13 6 Find X And Y Brainly In

Topic Pair Of Linear Equtions In Two Variables

Solutions To Reinforcement Exercises In Algebra
100以上 2 X 3 Y 13 5 X 4 Y 2 By Cross Multiplication Method 2568
Solve The Following Systems Of Equations 2 X 3 Y 9 Xy 4 X 9 Y 21 Xy Where X 0 Y 0 Sarthaks Econnect Largest Online Education Community
Solve 3x 4y 10 2x 2y 2 By The Method Of Elimination
Solve The Following Systems Of Equations 3 X Y 2 X Y 2 9 X Y 4 X Y 1 Sarthaks Econnect Largest Online Education Community
Selina Chapter 6 Linear Equations Including Problems Icse Solutions Class 9 Maths
Solve The System Of Equations By Using The Method Of Cross Multiplication 5 X Y 2 X Y 1 0 15 X Y 7 X Y 10 0 Sarthaks Econnect Largest Online Education Community

Solving Rational Equations
R D Sharma Solutions Class 10th Ch 3 Pair Of Linear Equations In Two Variables Exercise 3 4

Straight Line Graphs Straight Line Graphs 1 Sections

Example 18 Solve 5 X 1 1 Y 2 2 6 X 1 3 Y 2 1 Examples

Cross Multiply Definition Steps Comparing Fractions Ratios Examples
Frank Chapter 8 Simultaneous Linear Equations Icse Solutions Class 9 Math

3 Ir 152x 378 1 74 And 378 150 Pound P Ou The Zeroes Of The Polynomial 3 If 152 X 378 Y 74 And 378

Solve Each Of The Following Systems Of Equations By Using The Method Of Cross Multiplication 2x 5y 1 2x 3y 3

Multiply 5 X Y X Y 5
Solve The Following Pair Of Linear Equation Bycross Multiplication Method X 2y 2 X 3y 7
Graphical Method Of Solution Of A Pair Of Linear Equations Ck 12 Foundation
Elimination

Solve The Pair Of Equations 2 X 3 Y 13 5 X 4 Y 2 Youtube
Solve 5 X 1 1 Y 2 2 And 6 X 1 3 Y 2 1 Studyrankersonline
1

Solve The Following System Of Equations 5 X 1 2 Y 1 1 2 10 X 1 2 Y 1 5 2 Where X 1 And Y 1

Systems Of Linear Equations

Linear Algebra Achievement Standard Ppt Download

Pair Of Linear Equations In Two Variables Ncert Class 10 Maths

最も人気のある 3x Y 2 2x Y 8 3x Y 3 2x 3y 2 X 2y 8 Josspixifta

Example 18 Solve 5 X 1 1 Y 2 2 6 X 1 3 Y 2 1 Examples

11 6 151 Enm 503linear Algebra Review 1 U 2 4 3 And V 5 1 2 U V 2 5 4 1 3 2 3 3 5 2u 4 8 6 V 5 1 2 Ppt Download
Rd Sharma Solutions For Class 10 Mathematics Cbse Chapter 3 Pairs Of Linear Equations In Two Variables Topperlearning